🇳🇴 🇬🇧 🇩🇪 🇨🇿 🇫🇮

Meteor, poloha: Eidfjord 2024-12-08 23:05:52 UTC

Soubor KML  |  InteraktivnĂ­ mapa

Mapa zobrazuje dráhy meteoru. Světlejší čáry ukazují směry od pozorovacích stanic při objevení se meteoru a tmavší čáry, kde byl naposledy viděn. Modrá šipka značí viditelnou dráhu meteoru.

static map
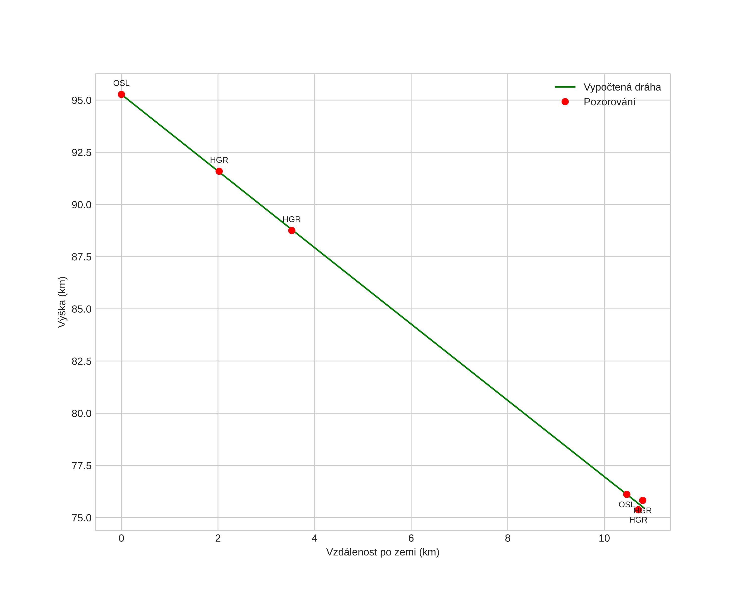
height profile
Atmosférická dráha meteoru:
Počáteční výška: 93,4 km
Konečná výška: 75,3 km
Počáteční poloha: 60,016N 7,083E
Konečná poloha: 60,104N 7,106E
Směr: 7,6°
Sklon: 61,4°
VstupnĂ­ rychlost: 24,5 km/s
Rektascenze radiantu: 04:24 (66,2°)
Deklinace radiantu: 29,7°
MeteorickĂ˝ roj: sporadickĂ˝
Elementy dráhy meteoroidu:
Vzdálenost v periheliu: 0,661 AU
Excentricita: 0,832
Sklon dráhy: 5,2°
Délka vzestupného uzlu: 257,0°
Argument perihelia: 254,0°
Střední anomálie: 355,0°
Epocha: 2024 DEC 08 23:05:52
orbit plot

NeinteraktivnĂ­ graf | InteraktivnĂ­ graf

position vs time
speed and acceleration