🇳🇴 🇬🇧 🇩🇪 🇨🇿 🇫🇮

Meteor, poloha: FlĂĄ 2024-12-09 02:50:21 UTC

Soubor KML  |  InteraktivnĂ­ mapa

Mapa zobrazuje dráhy meteoru. Světlejší čáry ukazují směry od pozorovacích stanic při objevení se meteoru a tmavší čáry, kde byl naposledy viděn. Modrá šipka značí viditelnou dráhu meteoru.

static map
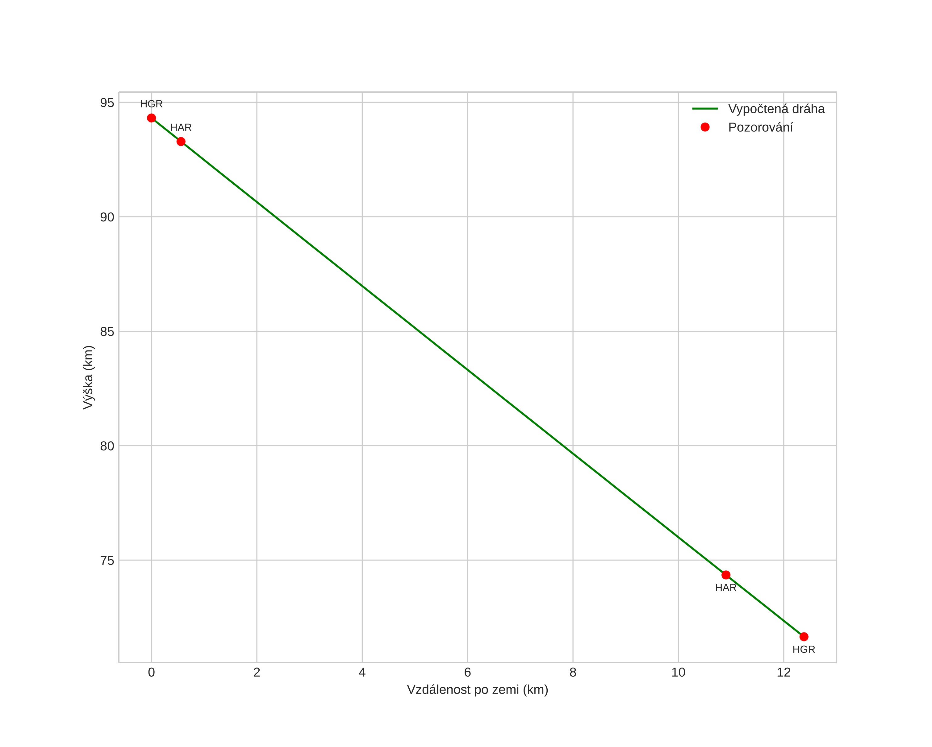
height profile
Atmosférická dráha meteoru:
Počáteční výška: 93,3 km
Konečná výška: 71,6 km
Počáteční poloha: 60,431N 9,470E
Konečná poloha: 60,518N 9,595E
Směr: 35,1°
Sklon: 61,4°
VstupnĂ­ rychlost: 34,0 km/s
Rektascenze radiantu: 07:18 (109,6°)
Deklinace radiantu: 33,8°
MeteorickĂ˝ roj: Geminidy
Elementy dráhy meteoroidu:
Vzdálenost v periheliu: 0,151 AU
Excentricita: 0,868
Sklon dráhy: 23,6°
Délka vzestupného uzlu: 257,2°
Argument perihelia: 325,2°
Střední anomálie: 328,6°
Epocha: 2024 DEC 09 02:50:21
orbit plot

NeinteraktivnĂ­ graf | InteraktivnĂ­ graf

position vs time
speed and acceleration