🇳🇴 🇬🇧 🇩🇪 🇨🇿 🇫🇮

Meteor, poloha: Raufoss 2024-12-09 16:59:13 UTC

Soubor KML  |  InteraktivnĂ­ mapa

Mapa zobrazuje dráhy meteoru. Světlejší čáry ukazují směry od pozorovacích stanic při objevení se meteoru a tmavší čáry, kde byl naposledy viděn. Modrá šipka značí viditelnou dráhu meteoru.

static map
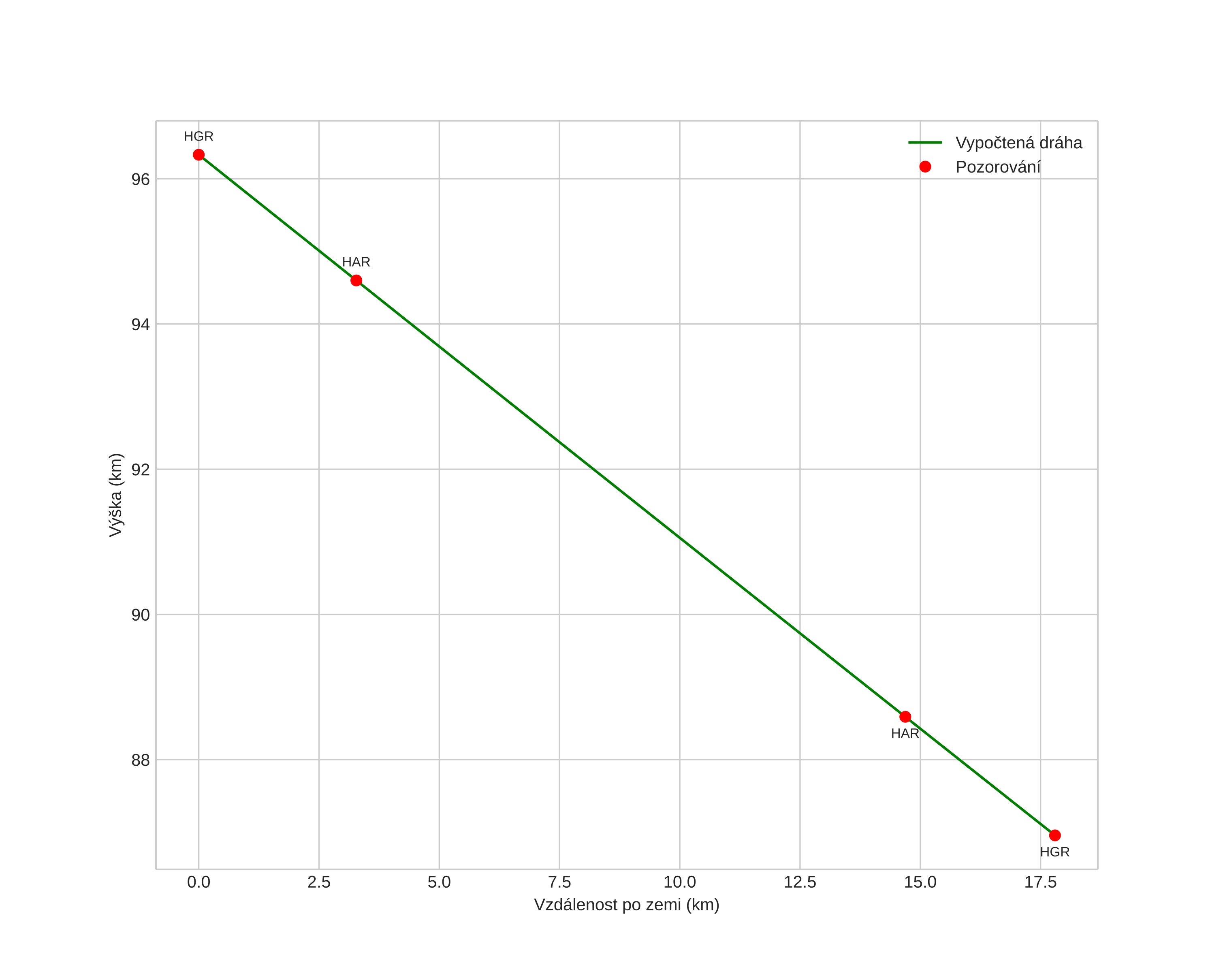
height profile
Atmosférická dráha meteoru:
Počáteční výška: 95,8 km
Konečná výška: 86,4 km
Počáteční poloha: 60,749N 10,887E
Konečná poloha: 60,711N 10,566E
Směr: 256,6°
Sklon: 27,6°
VstupnĂ­ rychlost: 22,6 km/s
Rektascenze radiantu: 04:55 (73,9°)
Deklinace radiantu: 26,5°
MeteorickĂ˝ roj: sporadickĂ˝
Elementy dráhy meteoroidu:
Vzdálenost v periheliu: 0,626 AU
Excentricita: 0,678
Sklon dráhy: 2,4°
Délka vzestupného uzlu: 257,7°
Argument perihelia: 264,4°
Střední anomálie: 343,4°
Epocha: 2024 DEC 09 16:59:13
orbit plot

NeinteraktivnĂ­ graf | InteraktivnĂ­ graf

position vs time
speed and acceleration

Harestua (HAR) cam6


gnomonic
Videa
• Gnomonická
• Gnomonická se souřadnicemi
• Původní
• Původní se souřadnicemi
Obrázky
• Gnomonická
• Gnomonická se souřadnicemi
• Gnomonická s popisky
• Původní
• Původní se souřadnicemi
Textové soubory
• Detekce
• Pozorování
• Souřadnice
• Protokol
Jasnost