🇳🇴 🇬🇧 🇩🇪 🇨🇿 🇫🇮

Meteor, poloha: Nordstranda 2024-12-09 17:46:41 UTC

Soubor KML  |  InteraktivnĂ­ mapa

Mapa zobrazuje dráhy meteoru. Světlejší čáry ukazují směry od pozorovacích stanic při objevení se meteoru a tmavší čáry, kde byl naposledy viděn. Modrá šipka značí viditelnou dráhu meteoru.

static map
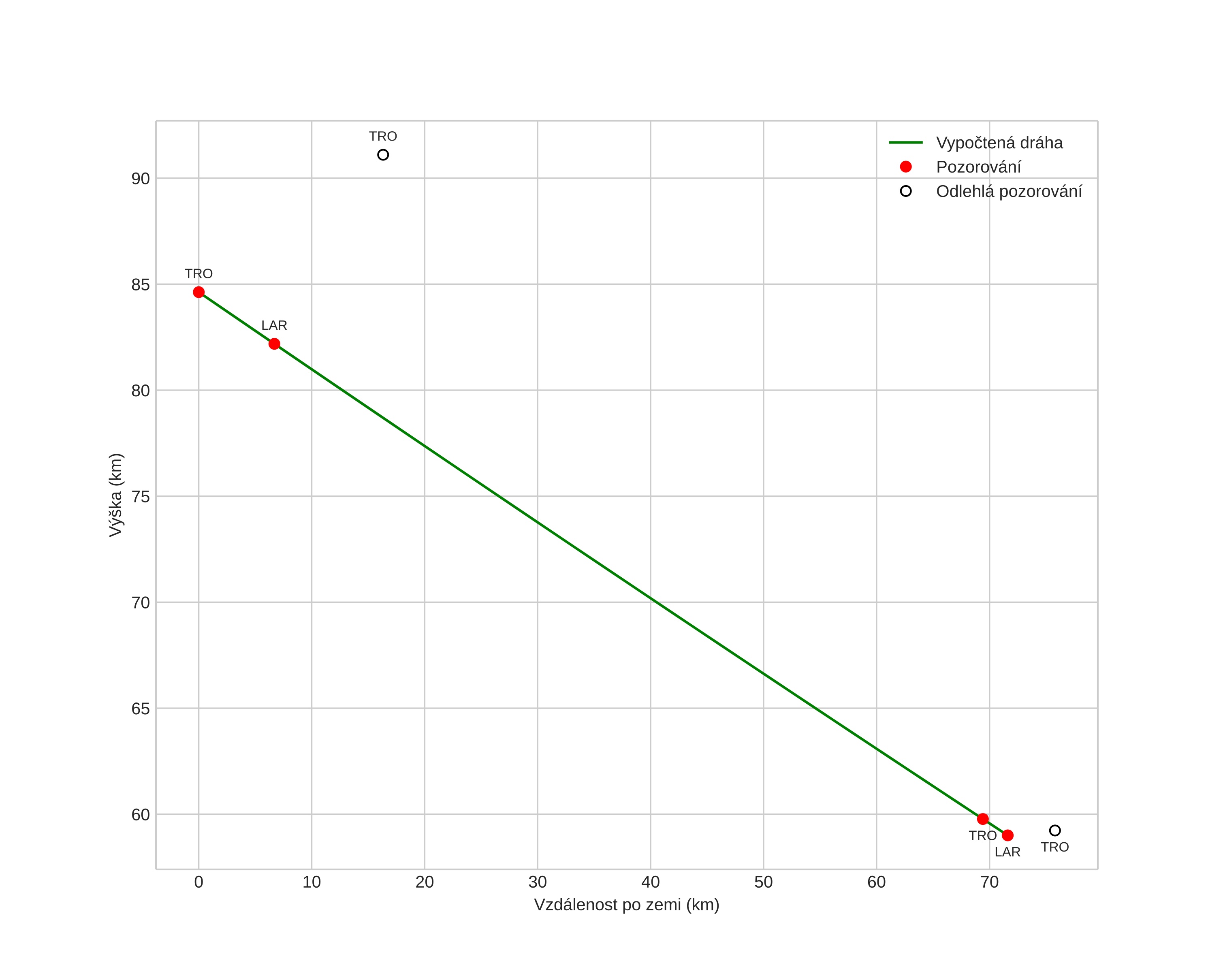
height profile
Atmosférická dráha meteoru:
Počáteční výška: 94,5 km
Konečná výška: 58,2 km
Počáteční poloha: 63,357N 7,420E
Konečná poloha: 62,806N 5,925E
Směr: 231,5°
Sklon: 20,5°
VstupnĂ­ rychlost: 36,9 km/s
Rektascenze radiantu: 07:20 (110,1°)
Deklinace radiantu: 33,6°
MeteorickĂ˝ roj: Geminidy
Elementy dráhy meteoroidu:
Vzdálenost v periheliu: 0,131 AU
Excentricita: 0,903
Sklon dráhy: 27,1°
Délka vzestupného uzlu: 257,8°
Argument perihelia: 325,7°
Střední anomálie: 336,8°
Epocha: 2024 DEC 09 17:46:41
orbit plot

NeinteraktivnĂ­ graf | InteraktivnĂ­ graf

position vs time
speed and acceleration