🇳🇴 🇬🇧 🇩🇪 🇨🇿 🇫🇮

Meteor, poloha: Nesbyen 2024-12-09 17:49:07 UTC

Soubor KML  |  InteraktivnĂ­ mapa

Mapa zobrazuje dráhy meteoru. Světlejší čáry ukazují směry od pozorovacích stanic při objevení se meteoru a tmavší čáry, kde byl naposledy viděn. Modrá šipka značí viditelnou dráhu meteoru.

static map
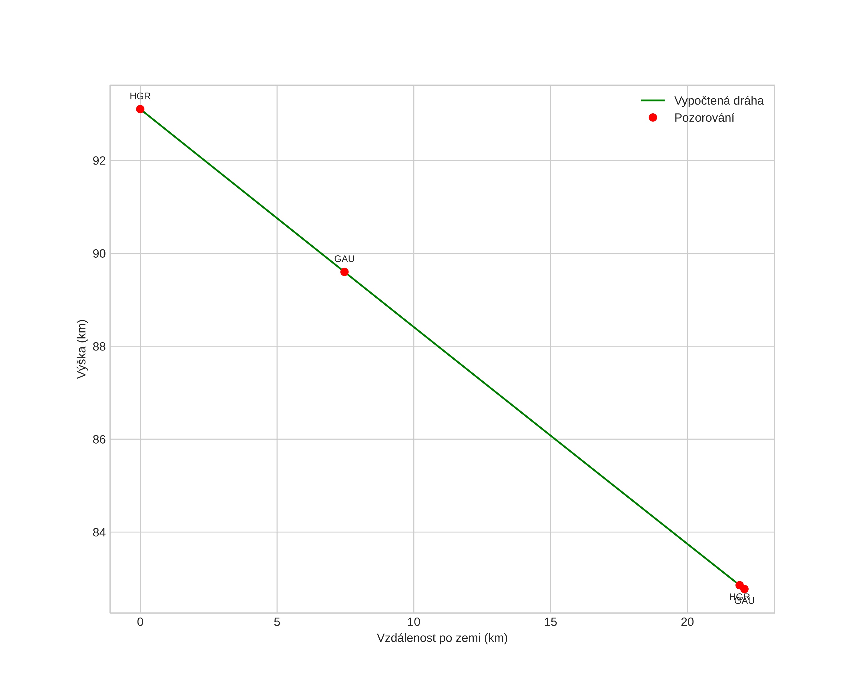
height profile
Atmosférická dráha meteoru:
Počáteční výška: 93,1 km
Konečná výška: 82,7 km
Počáteční poloha: 60,422N 9,601E
Konečná poloha: 60,428N 9,198E
Směr: 272,0°
Sklon: 25,2°
VstupnĂ­ rychlost: 21,8 km/s
Rektascenze radiantu: 04:54 (73,5°)
Deklinace radiantu: 16,2°
MeteorickĂ˝ roj: sporadickĂ˝
Elementy dráhy meteoroidu:
Vzdálenost v periheliu: 0,654 AU
Excentricita: 0,660
Sklon dráhy: 3,7°
Délka vzestupného uzlu: 77,9°
Argument perihelia: 81,1°
Střední anomálie: 343,1°
Epocha: 2024 DEC 09 17:49:07
orbit plot

NeinteraktivnĂ­ graf | InteraktivnĂ­ graf

position vs time
speed and acceleration

Gaustatoppen (GAU) cam6

gnomonic
Videa
• Původní
Obrázky
• Původní
Textové soubory
• Detekce
• Pozorování
• Souřadnice
• Protokol
Jasnost