🇳🇴 🇬🇧 🇩🇪 🇨🇿 🇫🇮

Meteor, poloha: Brørup 2024-12-09 18:57:31 UTC

Soubor KML  |  InteraktivnĂ­ mapa

Mapa zobrazuje dráhy meteoru. Světlejší čáry ukazují směry od pozorovacích stanic při objevení se meteoru a tmavší čáry, kde byl naposledy viděn. Modrá šipka značí viditelnou dráhu meteoru.

static map
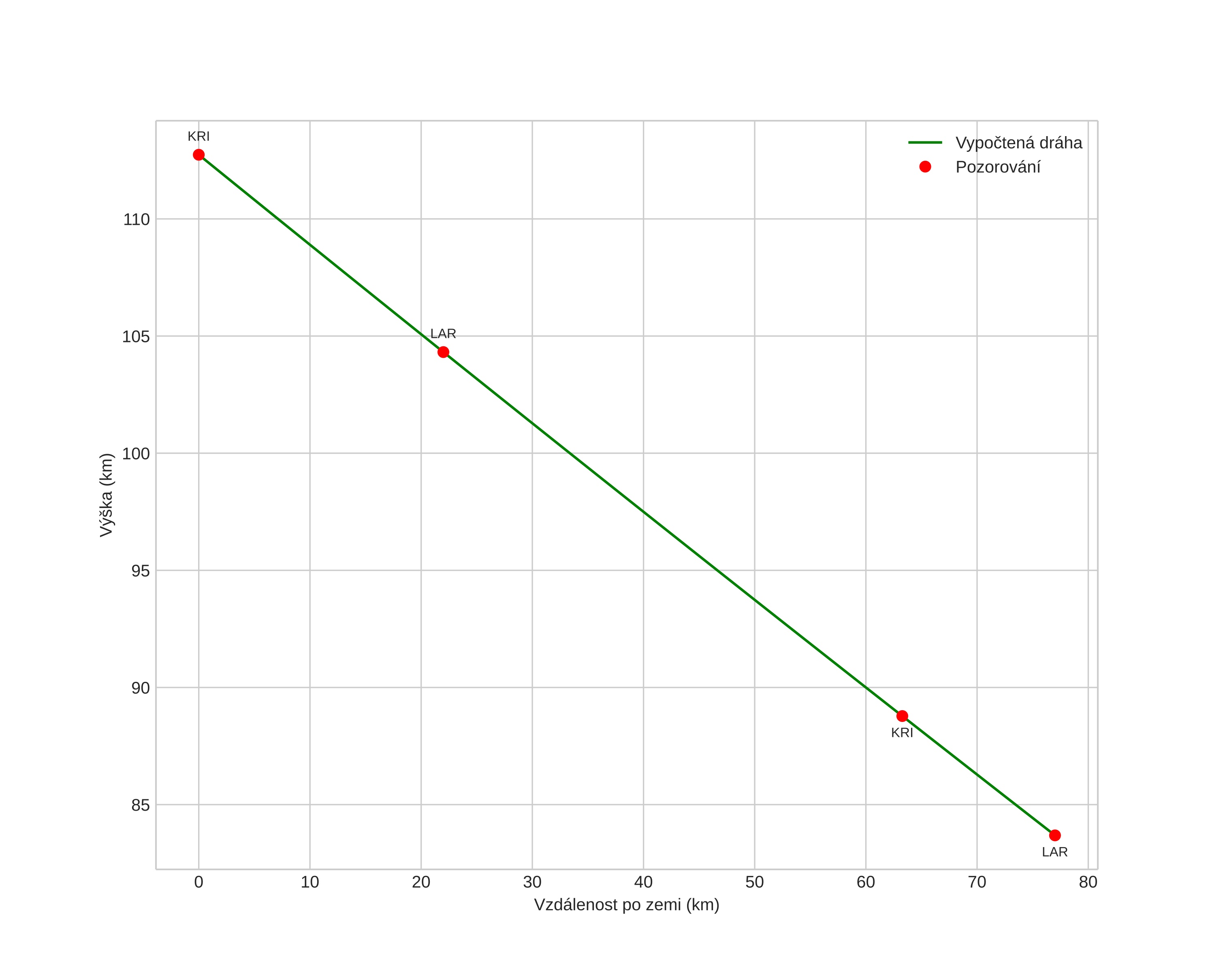
height profile
Atmosférická dráha meteoru:
Počáteční výška: 112,1 km
Konečná výška: 84,3 km
Počáteční poloha: 56,056N 9,654E
Konečná poloha: 55,414N 8,949E
Směr: 212,0°
Sklon: 18,3°
VstupnĂ­ rychlost: 59,0 km/s
Rektascenze radiantu: 09:50 (147,6°)
Deklinace radiantu: 44,8°
MeteorickĂ˝ roj: sporadickĂ˝
Elementy dráhy meteoroidu:
Vzdálenost v periheliu: 0,524 AU
Excentricita: 0,974
Sklon dráhy: 111,4°
Délka vzestupného uzlu: 257,9°
Argument perihelia: 267,0°
Střední anomálie: 359,6°
Epocha: 2024 DEC 09 18:57:31
orbit plot

NeinteraktivnĂ­ graf | InteraktivnĂ­ graf

position vs time
speed and acceleration