🇳🇴 🇬🇧 🇩🇪 🇨🇿 🇫🇮

Meteor, poloha: Skreia 2024-12-09 19:30:06 UTC

Soubor KML

Mapa zobrazuje dráhy meteoru. Světlejší čáry ukazují směry od pozorovacích stanic při objevení se meteoru a tmavší čáry, kde byl naposledy viděn. Modrá šipka značí viditelnou dráhu meteoru.

static map
height profile
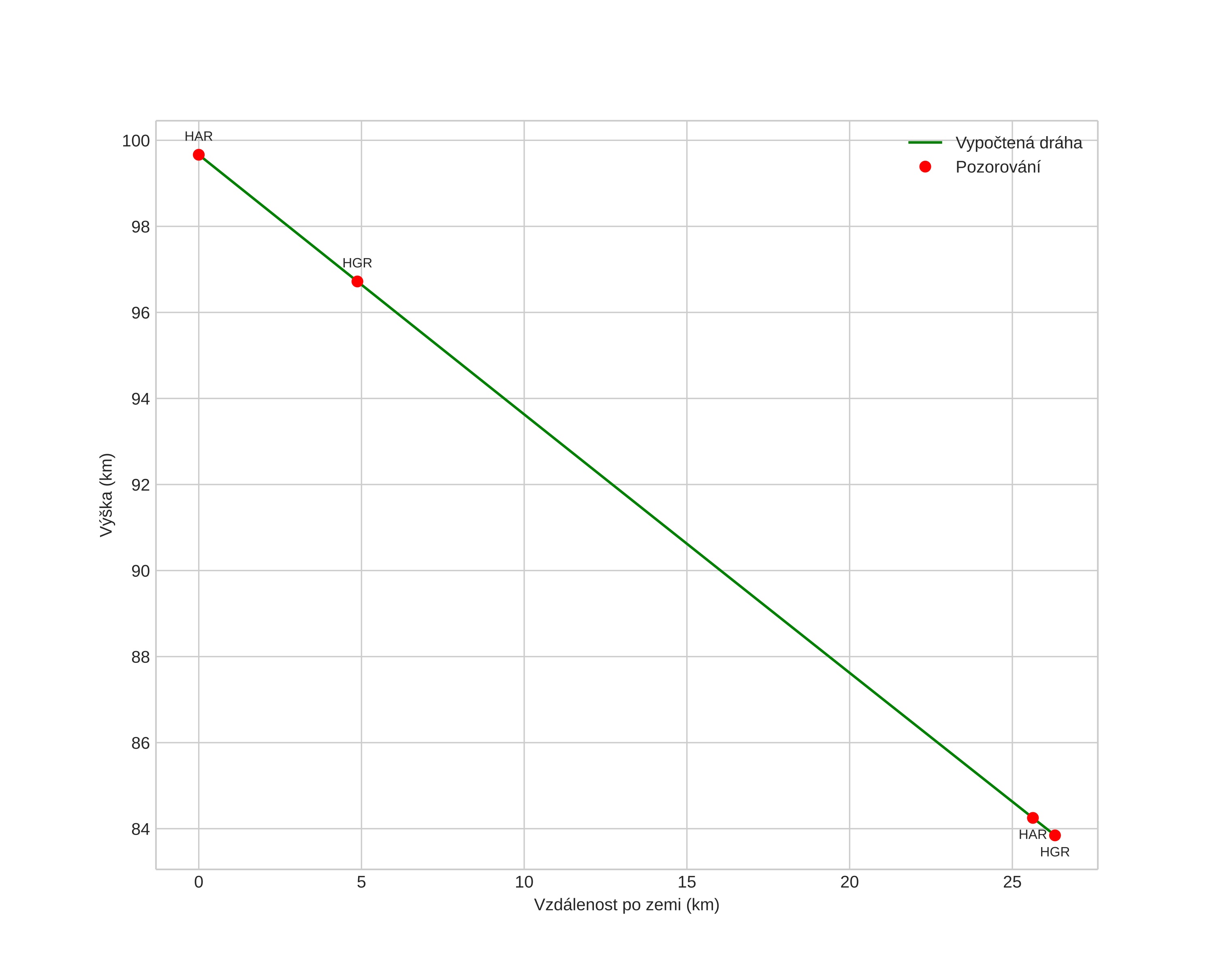
Atmosférická dráha meteoru:
Počáteční výška: 99,7 km
Konečná výška: 83,8 km
Počáteční poloha: 60,554N 11,333E
Konečná poloha: 60,486N 10,873E
Směr: 253,5°
Sklon: 31,1°
VstupnĂ­ rychlost: 33,7 km/s
Rektascenze radiantu: 07:22 (110,6°)
Deklinace radiantu: 33,5°
MeteorickĂ˝ roj: Geminidy
Elementy dráhy meteoroidu:
Vzdálenost v periheliu: 0,153 AU
Excentricita: 0,862
Sklon dráhy: 22,5°
Délka vzestupného uzlu: 257,9°
Argument perihelia: 325,5°
Střední anomálie: 326,4°
Epocha: 2024 DEC 09 19:30:06
orbit plot

NeinteraktivnĂ­ graf

position vs time
speed and acceleration