🇳🇴 🇬🇧 🇩🇪 🇨🇿 🇫🇮

Meteor, poloha: Rena 2024-12-09 20:21:29 UTC

Soubor KML  |  InteraktivnĂ­ mapa

Mapa zobrazuje dráhy meteoru. Světlejší čáry ukazují směry od pozorovacích stanic při objevení se meteoru a tmavší čáry, kde byl naposledy viděn. Modrá šipka značí viditelnou dráhu meteoru.

static map
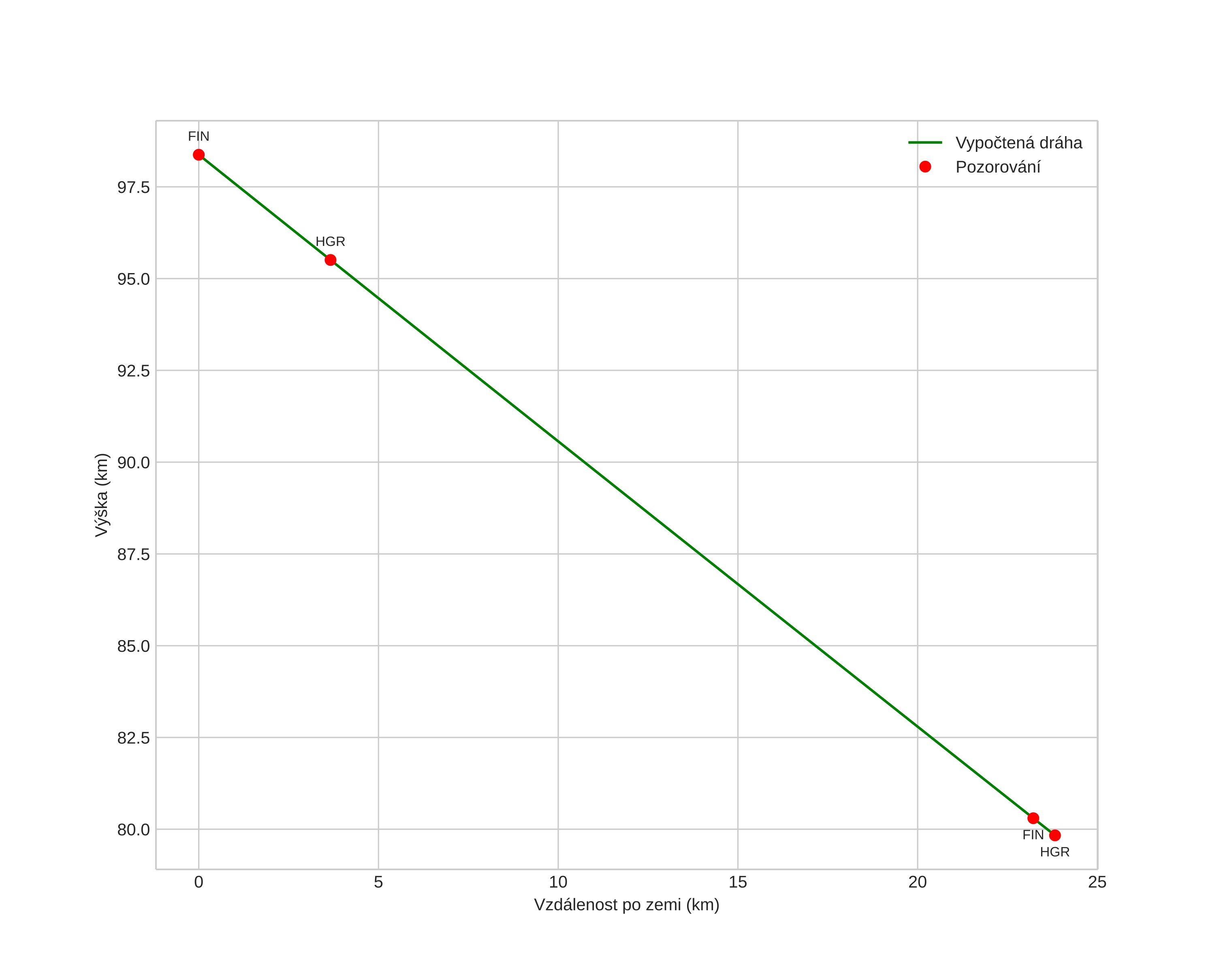
height profile
Atmosférická dráha meteoru:
Počáteční výška: 98,4 km
Konečná výška: 79,3 km
Počáteční poloha: 61,256N 11,778E
Konečná poloha: 61,242N 11,320E
Směr: 266,6°
Sklon: 37,9°
VstupnĂ­ rychlost: 36,5 km/s
Rektascenze radiantu: 07:14 (108,6°)
Deklinace radiantu: 33,2°
MeteorickĂ˝ roj: Geminidy
Elementy dráhy meteoroidu:
Vzdálenost v periheliu: 0,144 AU
Excentricita: 0,897
Sklon dráhy: 24,2°
Délka vzestupného uzlu: 257,9°
Argument perihelia: 323,8°
Střední anomálie: 337,5°
Epocha: 2024 DEC 09 20:21:29
orbit plot

NeinteraktivnĂ­ graf | InteraktivnĂ­ graf

position vs time
speed and acceleration