🇳🇴 🇬🇧 🇩🇪 🇨🇿 🇫🇮

Meteor, poloha: Sauland 2024-12-09 23:03:31 UTC

Soubor KML  |  InteraktivnĂ­ mapa

Mapa zobrazuje dráhy meteoru. Světlejší čáry ukazují směry od pozorovacích stanic při objevení se meteoru a tmavší čáry, kde byl naposledy viděn. Modrá šipka značí viditelnou dráhu meteoru.

static map
height profile
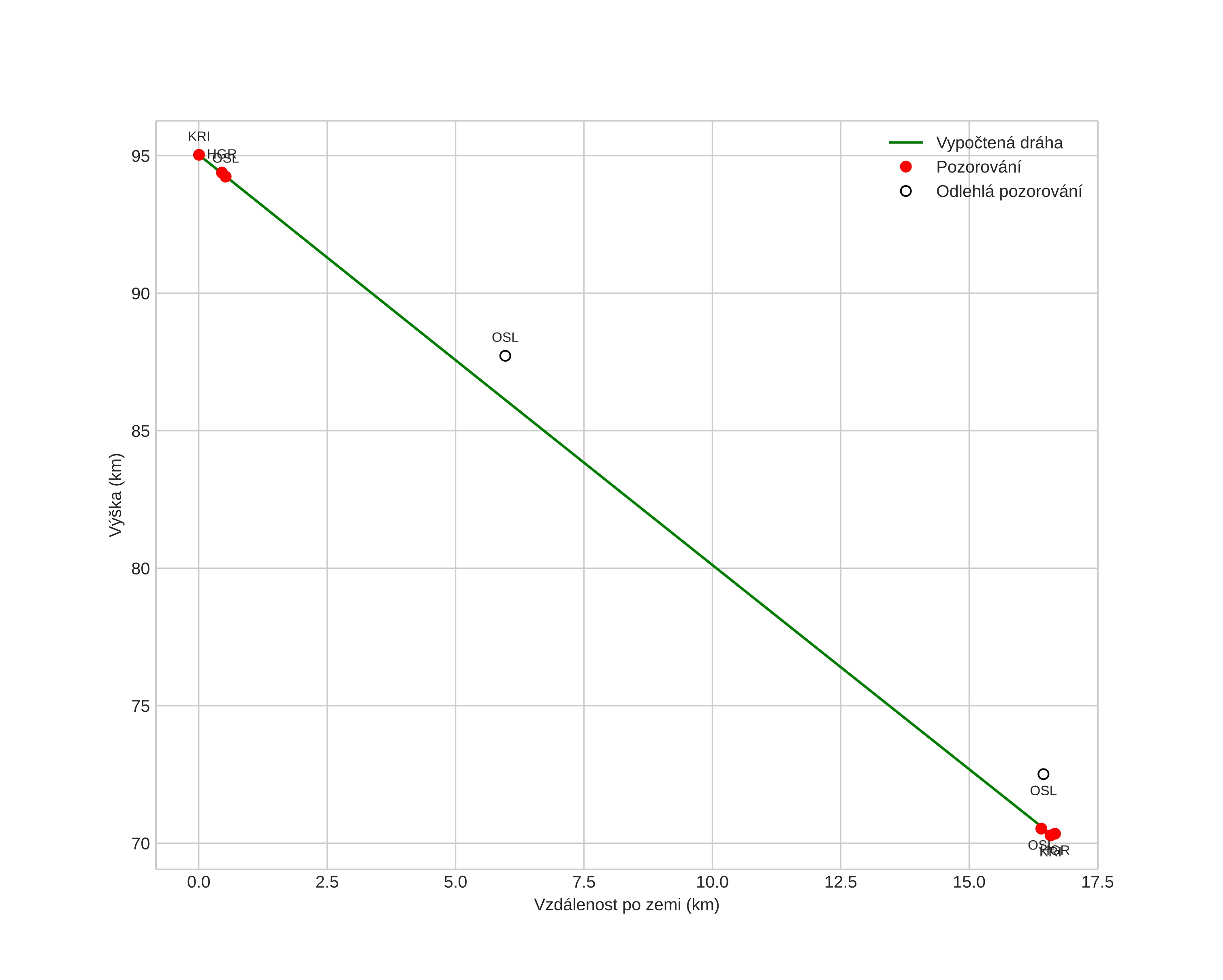
Atmosférická dráha meteoru:
Počáteční výška: 94,8 km
Konečná výška: 70,0 km
Počáteční poloha: 59,405N 9,163E
Konečná poloha: 59,482N 8,905E
Směr: 300,8°
Sklon: 55,7°
VstupnĂ­ rychlost: 35,8 km/s
Rektascenze radiantu: 07:18 (109,7°)
Deklinace radiantu: 33,7°
MeteorickĂ˝ roj: Geminidy
Elementy dráhy meteoroidu:
Vzdálenost v periheliu: 0,144 AU
Excentricita: 0,888
Sklon dráhy: 25,0°
Délka vzestupného uzlu: 258,0°
Argument perihelia: 324,6°
Střední anomálie: 334,5°
Epocha: 2024 DEC 09 23:03:31
orbit plot

NeinteraktivnĂ­ graf | InteraktivnĂ­ graf

position vs time
speed and acceleration