🇳🇴 🇬🇧 🇩🇪 🇨🇿 🇫🇮

Meteor, poloha: Sauland 2024-12-09 23:03:32 UTC

Soubor KML  |  InteraktivnĂ­ mapa

Mapa zobrazuje dráhy meteoru. Světlejší čáry ukazují směry od pozorovacích stanic při objevení se meteoru a tmavší čáry, kde byl naposledy viděn. Modrá šipka značí viditelnou dráhu meteoru.

static map
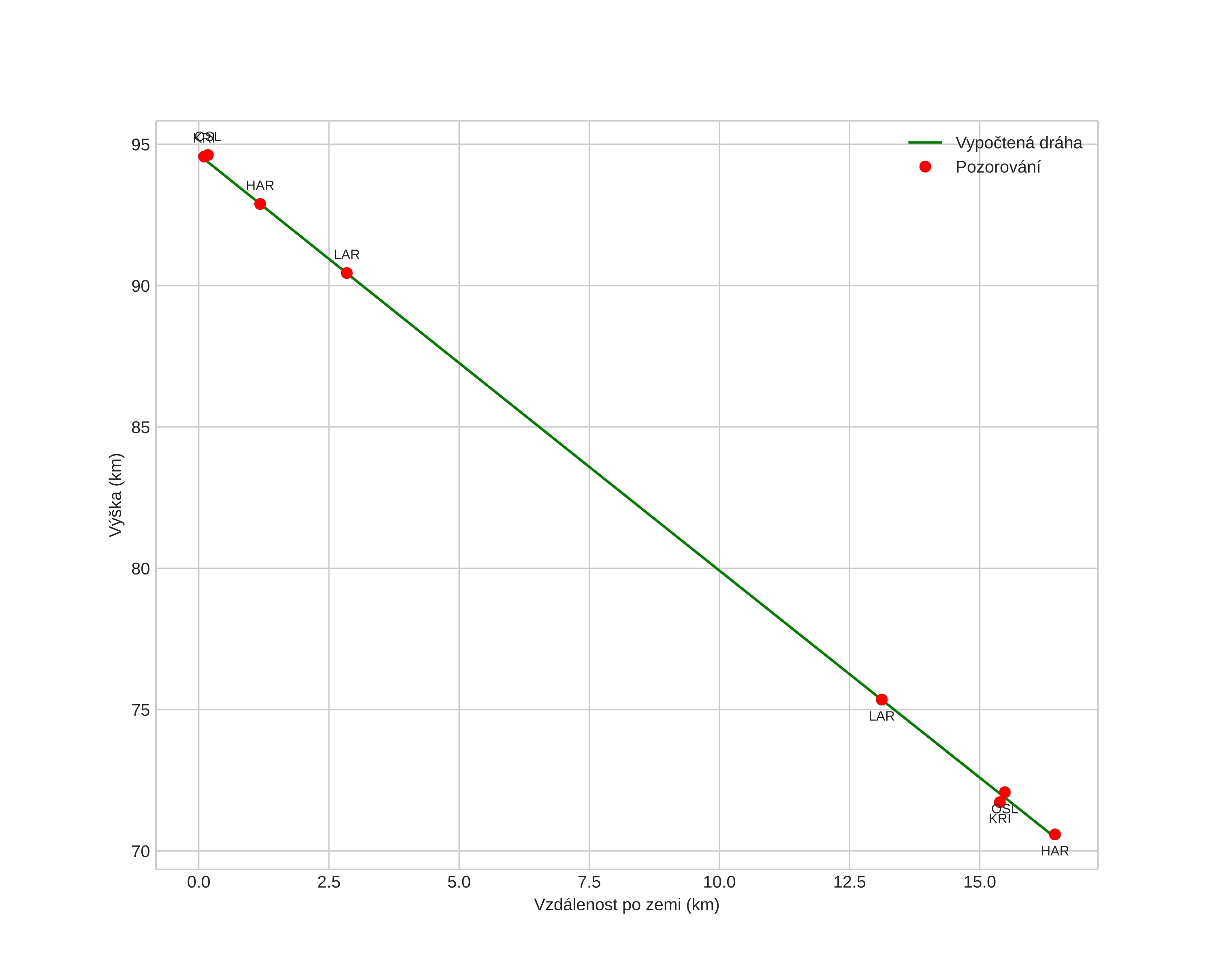
height profile
Atmosférická dráha meteoru:
Počáteční výška: 96,8 km
Konečná výška: 70,4 km
Počáteční poloha: 59,391N 9,171E
Konečná poloha: 59,472N 8,896E
Směr: 300,2°
Sklon: 55,8°
VstupnĂ­ rychlost: 36,7 km/s
Rektascenze radiantu: 07:19 (110,0°)
Deklinace radiantu: 34,0°
MeteorickĂ˝ roj: Geminidy
Elementy dráhy meteoroidu:
Vzdálenost v periheliu: 0,138 AU
Excentricita: 0,898
Sklon dráhy: 27,1°
Délka vzestupného uzlu: 258,0°
Argument perihelia: 324,7°
Střední anomálie: 336,9°
Epocha: 2024 DEC 09 23:03:32
orbit plot

NeinteraktivnĂ­ graf | InteraktivnĂ­ graf

position vs time
speed and acceleration