🇳🇴 🇬🇧 🇩🇪 🇨🇿 🇫🇮

Meteor, poloha: Sauland 2024-12-09 23:03:33 UTC

Soubor KML  |  InteraktivnĂ­ mapa

Mapa zobrazuje dráhy meteoru. Světlejší čáry ukazují směry od pozorovacích stanic při objevení se meteoru a tmavší čáry, kde byl naposledy viděn. Modrá šipka značí viditelnou dráhu meteoru.

static map
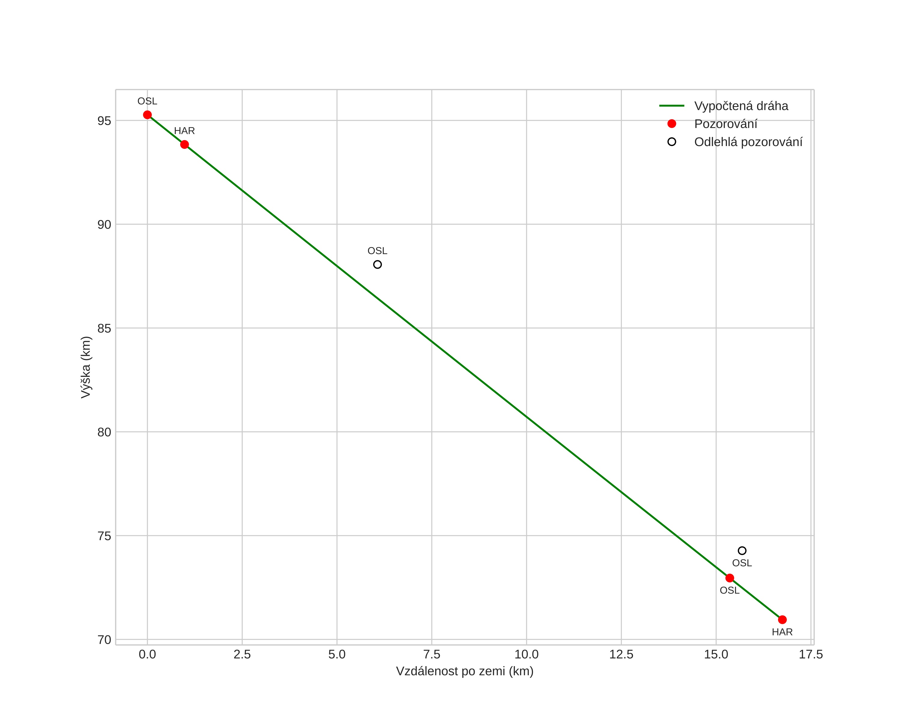
height profile
Atmosférická dráha meteoru:
Počáteční výška: 93,4 km
Konečná výška: 68,5 km
Počáteční poloha: 59,415N 9,201E
Konečná poloha: 59,495N 8,956E
Směr: 302,9°
Sklon: 56,5°
VstupnĂ­ rychlost: 35,8 km/s
Rektascenze radiantu: 07:12 (108,1°)
Deklinace radiantu: 33,7°
MeteorickĂ˝ roj: Geminidy
Elementy dráhy meteoroidu:
Vzdálenost v periheliu: 0,156 AU
Excentricita: 0,887
Sklon dráhy: 23,8°
Délka vzestupného uzlu: 258,0°
Argument perihelia: 322,3°
Střední anomálie: 337,0°
Epocha: 2024 DEC 09 23:03:33
orbit plot

NeinteraktivnĂ­ graf | InteraktivnĂ­ graf

position vs time
speed and acceleration