🇳🇴 🇬🇧 🇩🇪 🇨🇿 🇫🇮

Meteor Jevnakerin yllä 2024-12-09 23:32:11 UTC

KML-tiedosto  |  Interaktiivinen kartta

Kartta näyttää meteorin suuntahavainnot. Vaaleammat viivat näyttävät suunnat havaintoasemilta meteorin ilmestyessä, ja tummemmat viivat näyttävät, missä se viimeksi nähtiin. Sininen nuoli näyttää meteorin näkyvän lennon.

static map
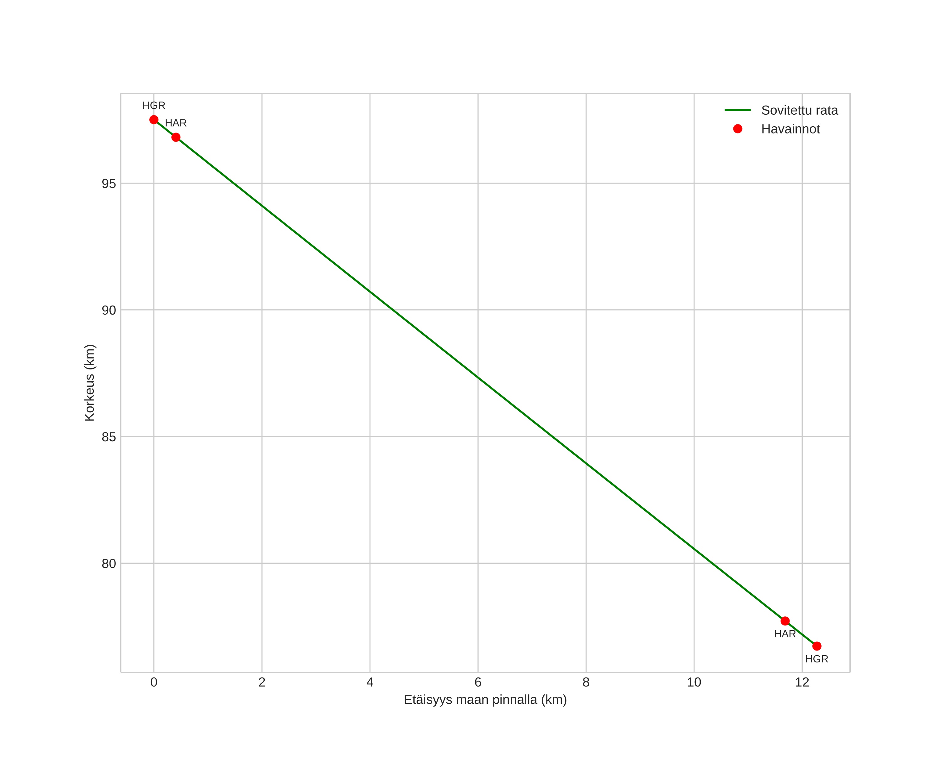
height profile
Meteorin ilmakehärata:
Alkukorkeus: 98,2 km
Loppukorkeus: 77,1 km
Alkupiste: 60,252N 10,526E
Loppupiste: 60,327N 10,358E
Suunta: 311,9°
Kallistuskulma: 59,5°
Tulonopeus: 36,3 km/s
Radiantin R,A,: 07:19 (109,8°)
Radiantin Dekl,: 34,8°
Meteoriparvi: Geminidit
Meteoroidin rataelementit:
Perihelietäisyys: 0,148 AU
Eksentrisyys: 0,890
Inklinaatio: 27,8°
Nousevan solmun pituus: 258,0°
Perihelin argumentti: 323,5°
Keskianomalia: 336,3°
Epookki: 2024 DEC 09 23:32:11
orbit plot

Ei-interaktiivinen kuvaaja | Interaktiivinen kuvaaja

position vs time
speed and acceleration

Harestua (HAR) cam6


gnomonic
Videot:
• Gnomoninen
• Gnomoninen koordinaateilla
• Alkuperäinen
• Alkuperäinen koordinaateilla
Kuvat:
• Gnomoninen
• Gnomoninen koordinaateilla
• Gnomoninen merkinnöillä
• Alkuperäinen
• Alkuperäinen koordinaateilla
Tekstitiedostot:
• Havaintoraportti
• Observaatio
• Koordinaatit
• Loki
Kirkkaus