🇳🇴 🇬🇧 🇩🇪 🇨🇿 🇫🇮

Meteor, poloha: Rollag 2024-12-09 23:35:05 UTC

Soubor KML  |  InteraktivnĂ­ mapa

Mapa zobrazuje dráhy meteoru. Světlejší čáry ukazují směry od pozorovacích stanic při objevení se meteoru a tmavší čáry, kde byl naposledy viděn. Modrá šipka značí viditelnou dráhu meteoru.

static map
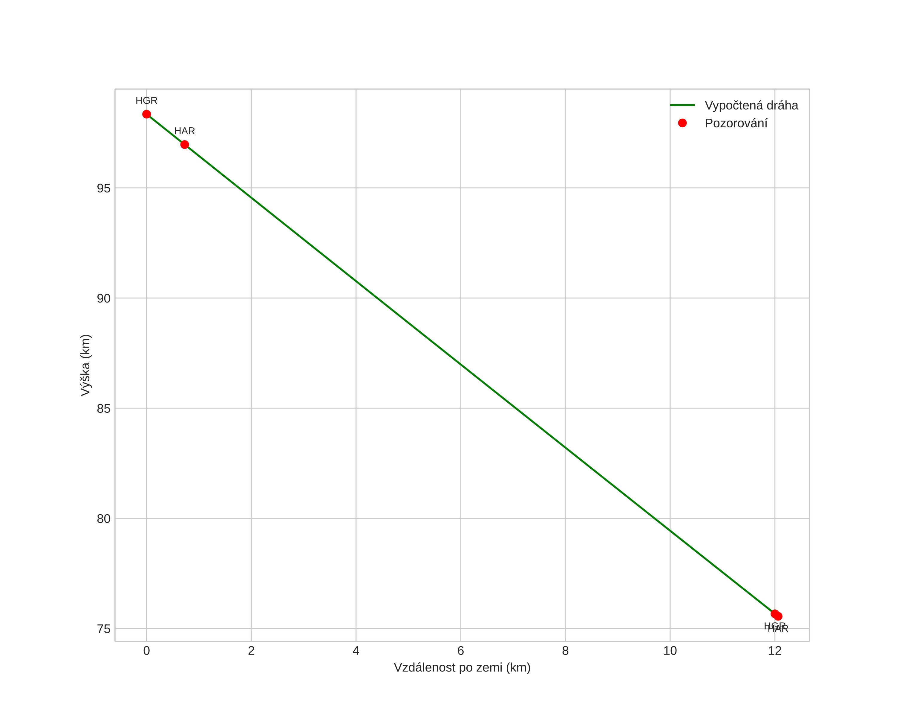
height profile
Atmosférická dráha meteoru:
Počáteční výška: 100,7 km
Konečná výška: 75,4 km
Počáteční poloha: 59,685N 9,438E
Konečná poloha: 59,800N 9,371E
Směr: 343,7°
Sklon: 62,3°
VstupnĂ­ rychlost: 32,1 km/s
Rektascenze radiantu: 06:01 (90,5°)
Deklinace radiantu: 31,7°
MeteorickĂ˝ roj: SevernĂ­ Tauridy
Elementy dráhy meteoroidu:
Vzdálenost v periheliu: 0,345 AU
Excentricita: 0,862
Sklon dráhy: 10,3°
Délka vzestupného uzlu: 258,0°
Argument perihelia: 293,8°
Střední anomálie: 349,8°
Epocha: 2024 DEC 09 23:35:05
orbit plot

NeinteraktivnĂ­ graf | InteraktivnĂ­ graf

position vs time
speed and acceleration