🇳🇴 🇬🇧 🇩🇪 🇨🇿 🇫🇮

Meteor, poloha: Notodden 2024-12-10 01:53:25 UTC

Soubor KML  |  InteraktivnĂ­ mapa

Mapa zobrazuje dráhy meteoru. Světlejší čáry ukazují směry od pozorovacích stanic při objevení se meteoru a tmavší čáry, kde byl naposledy viděn. Modrá šipka značí viditelnou dráhu meteoru.

static map
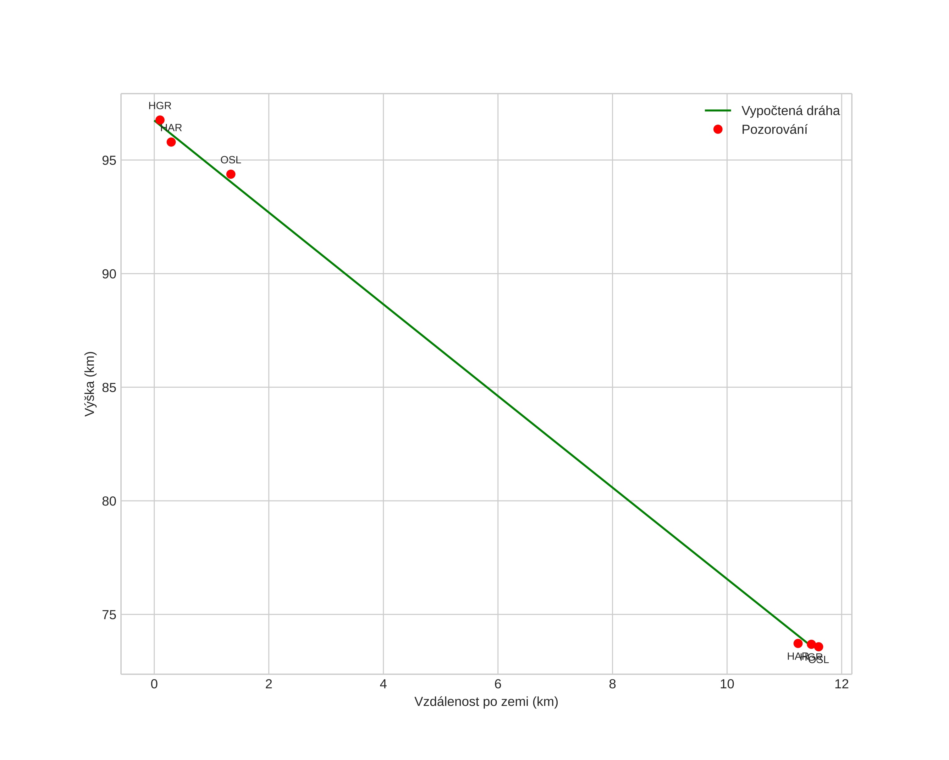
height profile
Atmosférická dráha meteoru:
Počáteční výška: 99,2 km
Konečná výška: 73,9 km
Počáteční poloha: 59,493N 9,369E
Konečná poloha: 59,603N 9,420E
Směr: 13,3°
Sklon: 63,5°
VstupnĂ­ rychlost: 36,6 km/s
Rektascenze radiantu: 07:15 (108,9°)
Deklinace radiantu: 32,6°
MeteorickĂ˝ roj: Geminidy
Elementy dráhy meteoroidu:
Vzdálenost v periheliu: 0,137 AU
Excentricita: 0,903
Sklon dráhy: 23,8°
Délka vzestupného uzlu: 258,1°
Argument perihelia: 324,6°
Střední anomálie: 338,2°
Epocha: 2024 DEC 10 01:53:25
orbit plot

NeinteraktivnĂ­ graf | InteraktivnĂ­ graf

position vs time
speed and acceleration