🇳🇴 🇬🇧 🇩🇪 🇨🇿 🇫🇮

Meteor, poloha: Vestbygd 2024-12-10 02:39:15 UTC

Soubor KML  |  InteraktivnĂ­ mapa

Mapa zobrazuje dráhy meteoru. Světlejší čáry ukazují směry od pozorovacích stanic při objevení se meteoru a tmavší čáry, kde byl naposledy viděn. Modrá šipka značí viditelnou dráhu meteoru.

static map
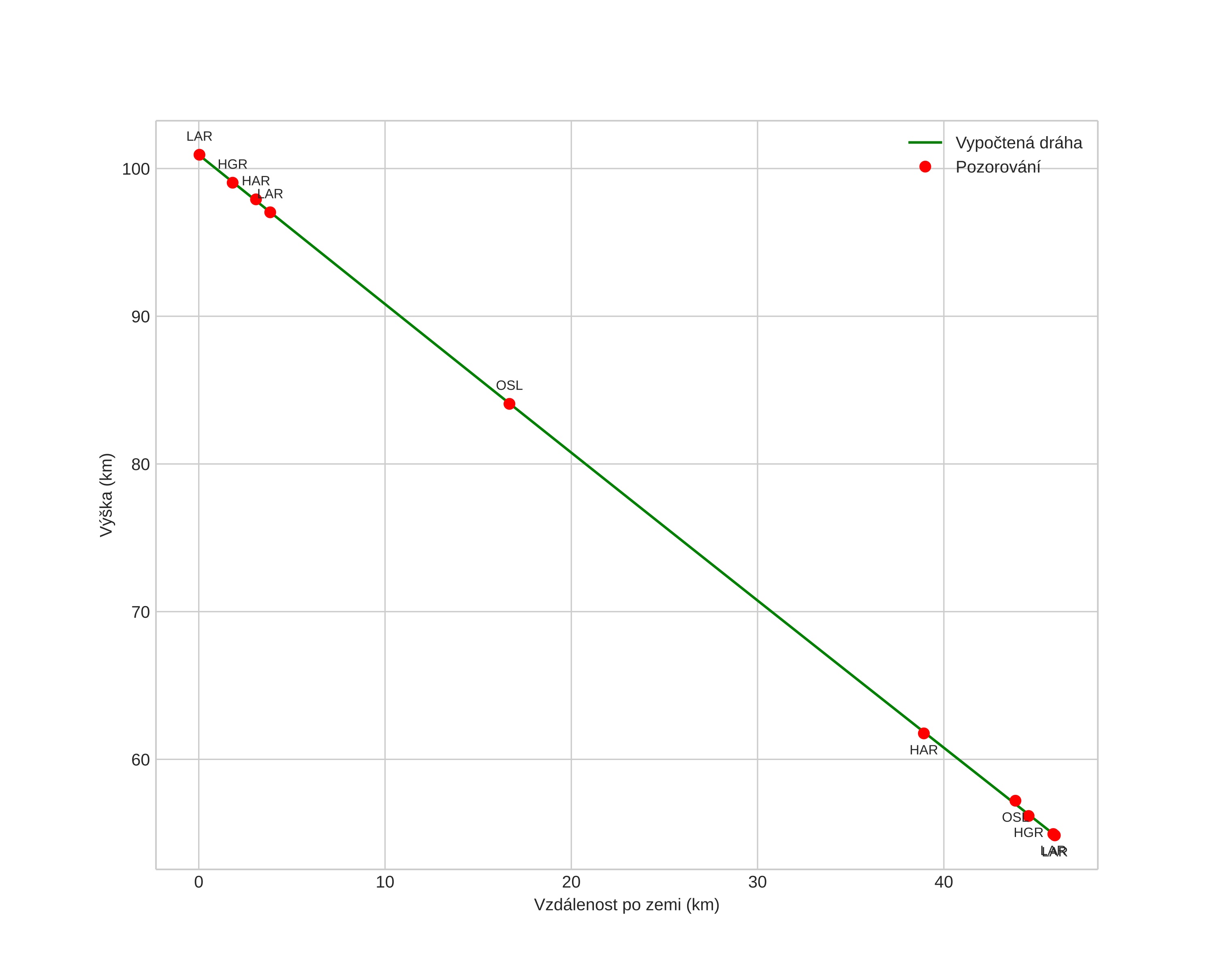
height profile
Atmosférická dráha meteoru:
Počáteční výška: 100,4 km
Konečná výška: 55,0 km
Počáteční poloha: 57,531N 6,921E
Konečná poloha: 57,260N 6,301E
Směr: 231,3°
Sklon: 43,6°
VstupnĂ­ rychlost: 45,0 km/s
Rektascenze radiantu: 14:31 (217,9°)
Deklinace radiantu: 55,4°
MeteorickĂ˝ roj: sporadickĂ˝
Elementy dráhy meteoroidu:
Vzdálenost v periheliu: 0,977 AU
Excentricita: 0,824
Sklon dráhy: 74,0°
Délka vzestupného uzlu: 258,2°
Argument perihelia: 169,1°
Střední anomálie: 0,6°
Epocha: 2024 DEC 10 02:39:15
orbit plot

NeinteraktivnĂ­ graf | InteraktivnĂ­ graf

position vs time
speed and acceleration