🇳🇴 🇬🇧 🇩🇪 🇨🇿 🇫🇮

Meteor, poloha: Hyltebruk 2024-12-10 03:23:30 UTC

Soubor KML  |  InteraktivnĂ­ mapa

Mapa zobrazuje dráhy meteoru. Světlejší čáry ukazují směry od pozorovacích stanic při objevení se meteoru a tmavší čáry, kde byl naposledy viděn. Modrá šipka značí viditelnou dráhu meteoru.

static map
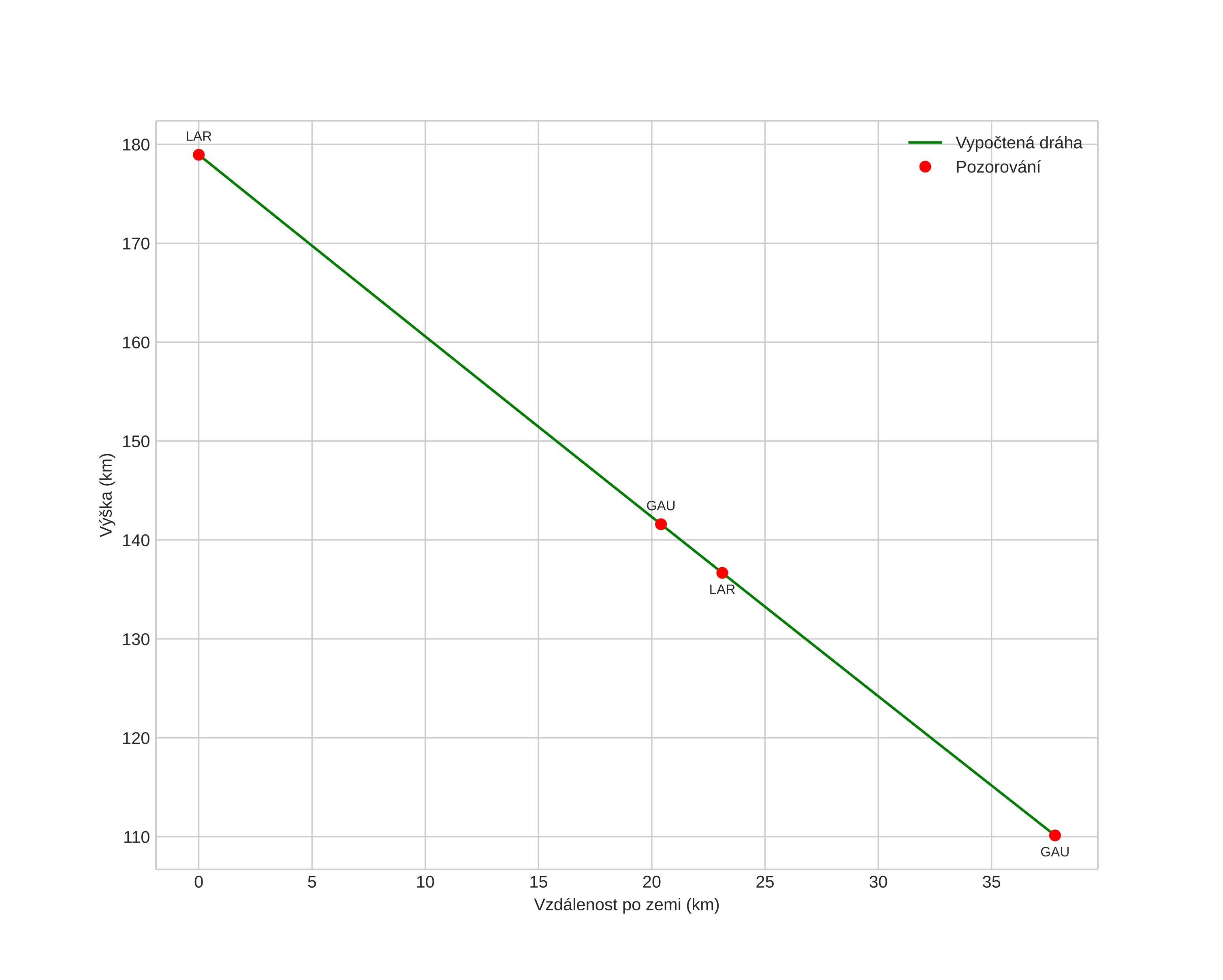
height profile
Atmosférická dráha meteoru:
Počáteční výška: 175,8 km
Konečná výška: 110,1 km
Počáteční poloha: 56,820N 12,724E
Konečná poloha: 57,028N 13,181E
Směr: 50,0°
Sklon: 61,2°
VstupnĂ­ rychlost: 73,0 km/s
Rektascenze radiantu: 07:42 (115,7°)
Deklinace radiantu: 34,1°
MeteorickĂ˝ roj: sporadickĂ˝
Elementy dráhy meteoroidu:
Vzdálenost v periheliu: 0,149 AU
Excentricita: 1,338
Sklon dráhy: 118,6°
Délka vzestupného uzlu: 258,2°
Argument perihelia: 298,9°
Střední anomálie: -81,2°
Epocha: 2024 DEC 10 03:23:30
orbit plot

NeinteraktivnĂ­ graf | InteraktivnĂ­ graf

position vs time
speed and acceleration

Gaustatoppen (GAU) cam3

gnomonic
Videa
• Původní
Obrázky
• Původní
Textové soubory
• Detekce
• Pozorování
• Souřadnice
• Protokol
Jasnost