🇳🇴 🇬🇧 🇩🇪 🇨🇿 🇫🇮

Meteor Fosnavågin yllä 2024-12-10 04:50:12 UTC

KML-tiedosto  |  Interaktiivinen kartta

Kartta näyttää meteorin suuntahavainnot. Vaaleammat viivat näyttävät suunnat havaintoasemilta meteorin ilmestyessä, ja tummemmat viivat näyttävät, missä se viimeksi nähtiin. Sininen nuoli näyttää meteorin näkyvän lennon.

static map
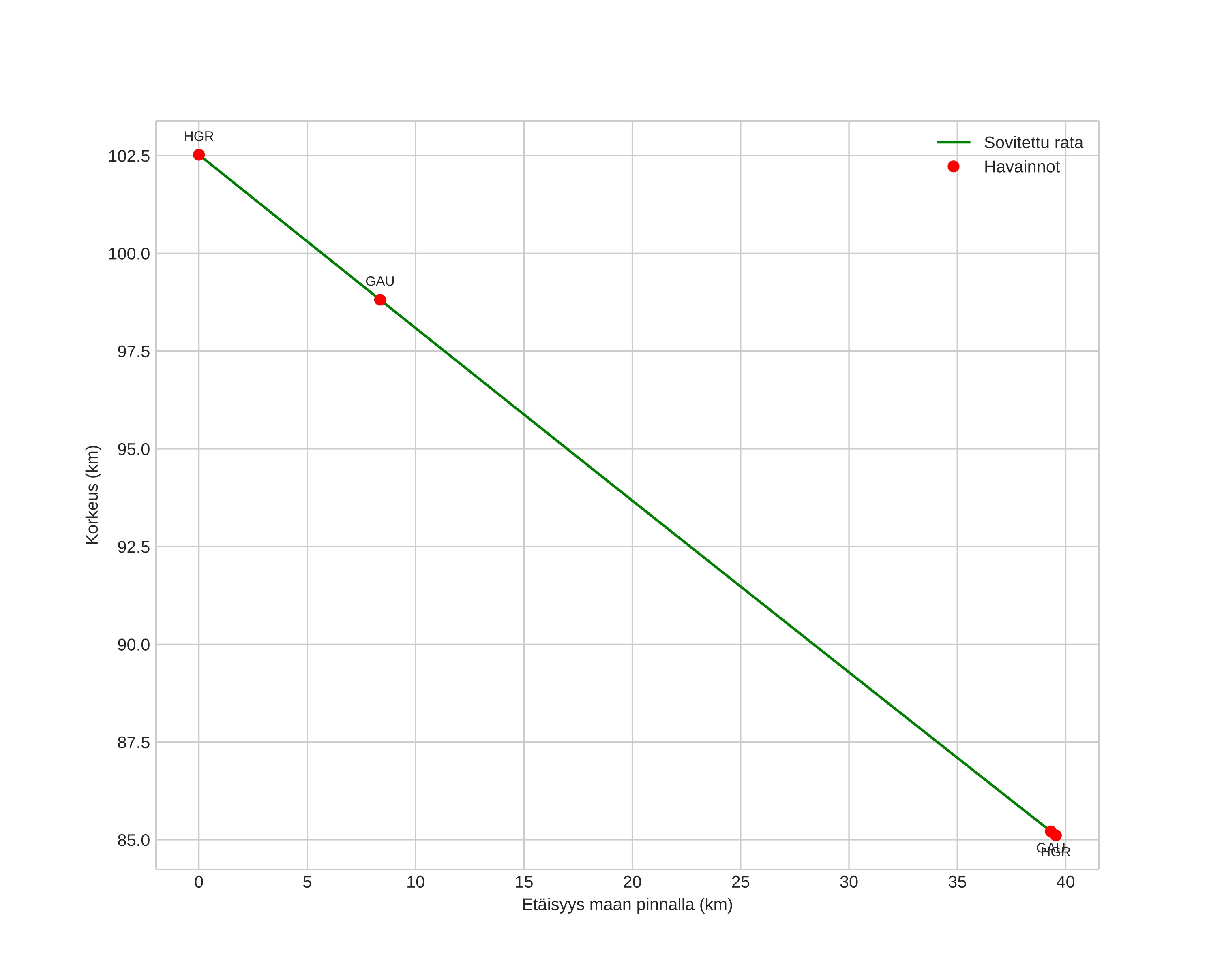
height profile
Meteorin ilmakehärata:
Alkukorkeus: 102,5 km
Loppukorkeus: 84,9 km
Alkupiste: 62,586N 4,470E
Loppupiste: 62,767N 5,140E
Suunta: 59,2°
Kallistuskulma: 23,9°
Tulonopeus: 41,9 km/s
Radiantin R,A,: 06:51 (102,8°)
Radiantin Dekl,: 7,0°
Meteoriparvi: Monoserotidit
Meteoroidin rataelementit:
Perihelietäisyys: 0,174 AU
Eksentrisyys: 0,956
Inklinaatio: 38,8°
Nousevan solmun pituus: 78,3°
Perihelin argumentti: 133,1°
Keskianomalia: 355,7°
Epookki: 2024 DEC 10 04:50:12
orbit plot

Ei-interaktiivinen kuvaaja | Interaktiivinen kuvaaja

position vs time
speed and acceleration