🇳🇴 🇬🇧 🇩🇪 🇨🇿 🇫🇮

Meteor, poloha: Vang 2024-12-10 04:57:04 UTC

Soubor KML  |  InteraktivnĂ­ mapa

Mapa zobrazuje dráhy meteoru. Světlejší čáry ukazují směry od pozorovacích stanic při objevení se meteoru a tmavší čáry, kde byl naposledy viděn. Modrá šipka značí viditelnou dráhu meteoru.

static map
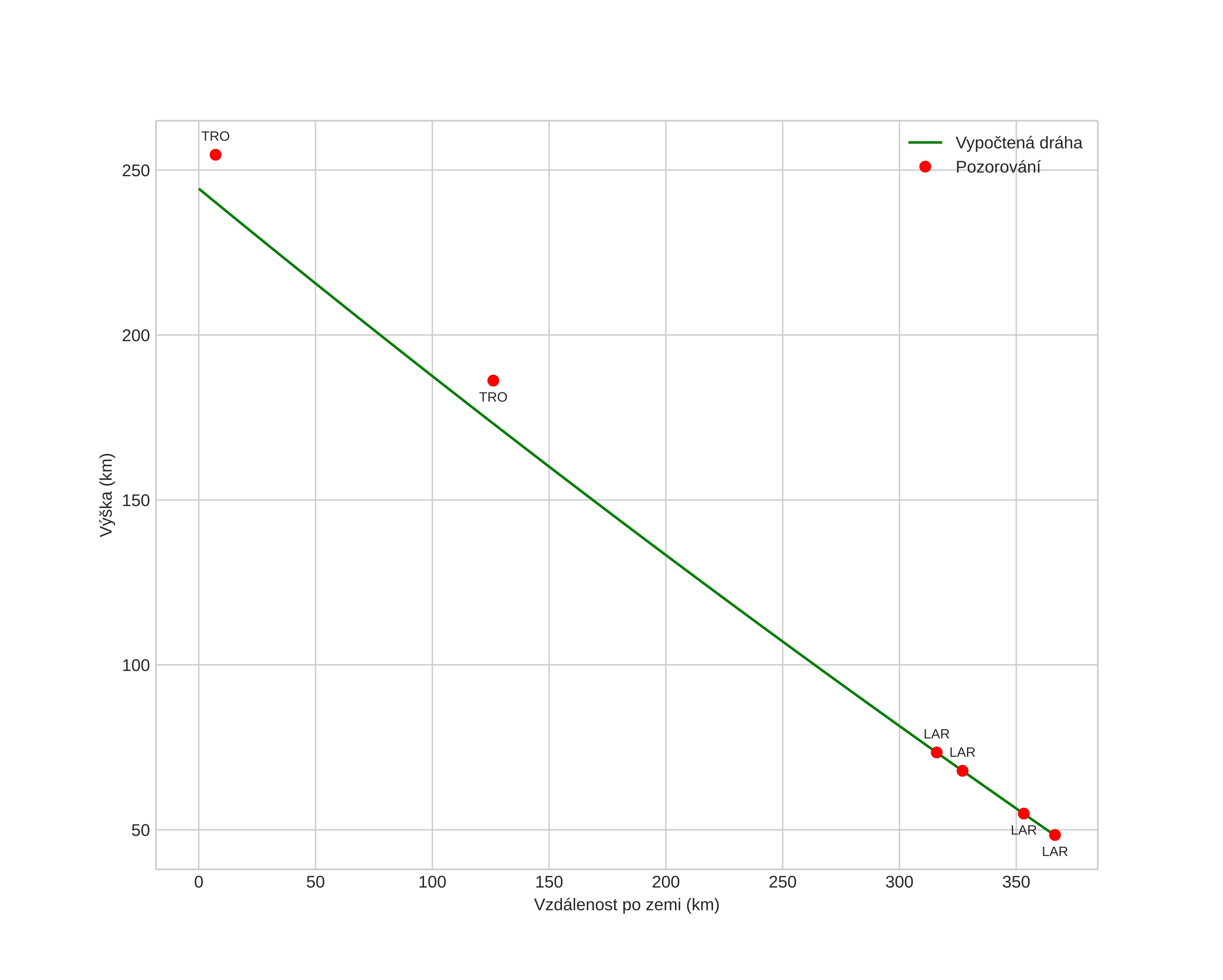
height profile
Atmosférická dráha meteoru:
Počáteční výška: 108,1 km
Konečná výška: 78,7 km
Počáteční poloha: 60,925N 7,845E
Konečná poloha: 61,330N 8,526E
Směr: 38,8°
Sklon: 26,9°
VstupnĂ­ rychlost: 62,7 km/s
Rektascenze radiantu: 08:27 (126,8°)
Deklinace radiantu: 2,8°
MeteorickĂ˝ roj: Sigma Hydridy
Elementy dráhy meteoroidu:
Vzdálenost v periheliu: 0,278 AU
Excentricita: 1,061
Sklon dráhy: 132,4°
Délka vzestupného uzlu: 78,3°
Argument perihelia: 113,2°
Střední anomálie: -3,4°
Epocha: 2024 DEC 10 04:57:04
orbit plot

NeinteraktivnĂ­ graf | InteraktivnĂ­ graf

position vs time
speed and acceleration