🇳🇴 🇬🇧 🇩🇪 🇨🇿 🇫🇮

Meteor, poloha: Sauland 2024-12-10 19:01:30 UTC

Soubor KML

Mapa zobrazuje dráhy meteoru. Světlejší čáry ukazují směry od pozorovacích stanic při objevení se meteoru a tmavší čáry, kde byl naposledy viděn. Modrá šipka značí viditelnou dráhu meteoru.

static map
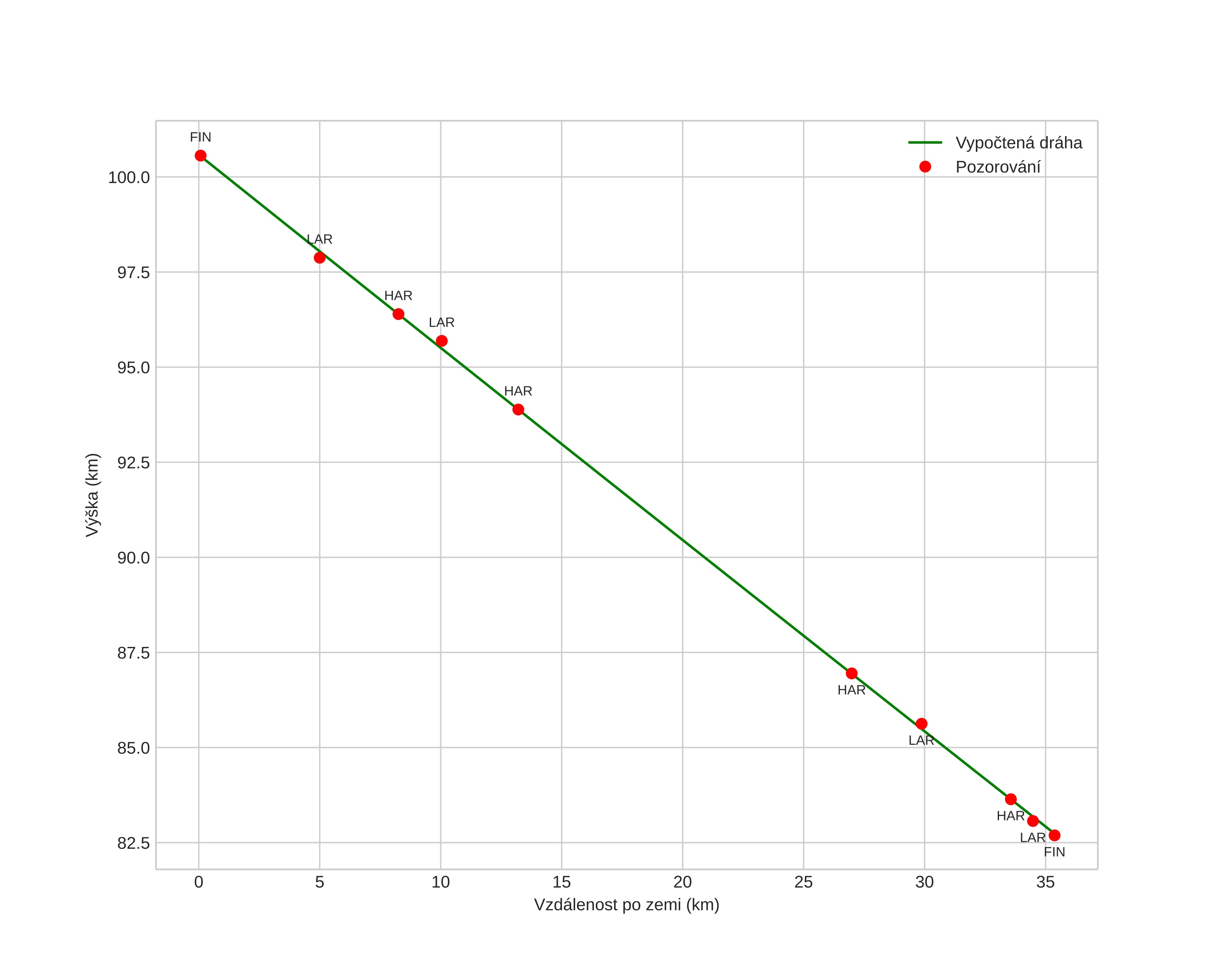
height profile
Atmosférická dráha meteoru:
Počáteční výška: 100,6 km
Konečná výška: 82,7 km
Počáteční poloha: 59,897N 9,520E
Konečná poloha: 59,772N 8,938E
Směr: 247,0°
Sklon: 26,8°
VstupnĂ­ rychlost: 34,7 km/s
Rektascenze radiantu: 07:23 (110,9°)
Deklinace radiantu: 33,1°
MeteorickĂ˝ roj: Geminidy
Elementy dráhy meteoroidu:
Vzdálenost v periheliu: 0,150 AU
Excentricita: 0,874
Sklon dráhy: 22,6°
Délka vzestupného uzlu: 258,9°
Argument perihelia: 324,9°
Střední anomálie: 330,5°
Epocha: 2024 DEC 10 19:01:30
orbit plot

NeinteraktivnĂ­ graf

position vs time
speed and acceleration