🇳🇴 🇬🇧 🇩🇪 🇨🇿 🇫🇮

Meteor Stavernin yllä 2024-12-10 22:20:34 UTC

KML-tiedosto  |  Interaktiivinen kartta

Kartta näyttää meteorin suuntahavainnot. Vaaleammat viivat näyttävät suunnat havaintoasemilta meteorin ilmestyessä, ja tummemmat viivat näyttävät, missä se viimeksi nähtiin. Sininen nuoli näyttää meteorin näkyvän lennon.

static map
height profile
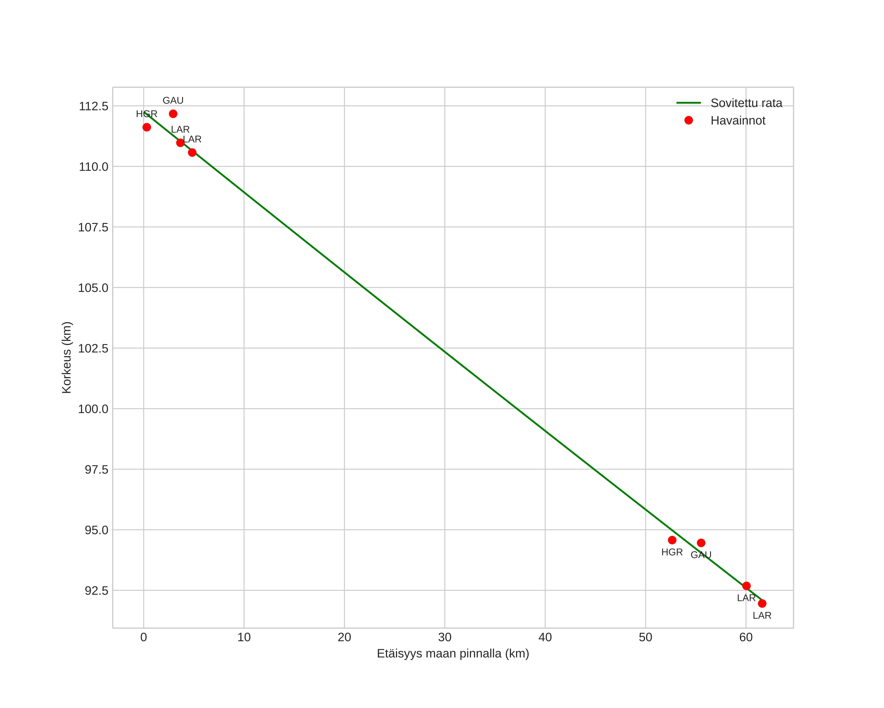
Meteorin ilmakehärata:
Alkukorkeus: 112,4 km
Loppukorkeus: 90,8 km
Alkupiste: 58,466N 11,180E
Loppupiste: 58,709N 10,129E
Suunta: 294,3°
Kallistuskulma: 18,0°
Tulonopeus: 59,6 km/s
Radiantin R,A,: 08:26 (126,5°)
Radiantin Dekl,: 2,8°
Meteoriparvi: Sigma-hydridit
Meteoroidin rataelementit:
Perihelietäisyys: 0,223 AU
Eksentrisyys: 0,991
Inklinaatio: 127,2°
Nousevan solmun pituus: 79,0°
Perihelin argumentti: 123,6°
Keskianomalia: 359,7°
Epookki: 2024 DEC 10 22:20:34
orbit plot

Ei-interaktiivinen kuvaaja | Interaktiivinen kuvaaja

position vs time
speed and acceleration

Gaustatoppen (GAU) cam3

gnomonic
Videot:
• Alkuperäinen
Kuvat:
• Alkuperäinen
Tekstitiedostot:
• Havaintoraportti
• Observaatio
• Koordinaatit
• Loki
Kirkkaus