🇳🇴 🇬🇧 🇩🇪 🇨🇿 🇫🇮

Meteor, poloha: Vikersund 2024-12-10 22:42:48 UTC

Soubor KML  |  InteraktivnĂ­ mapa

Mapa zobrazuje dráhy meteoru. Světlejší čáry ukazují směry od pozorovacích stanic při objevení se meteoru a tmavší čáry, kde byl naposledy viděn. Modrá šipka značí viditelnou dráhu meteoru.

static map
height profile
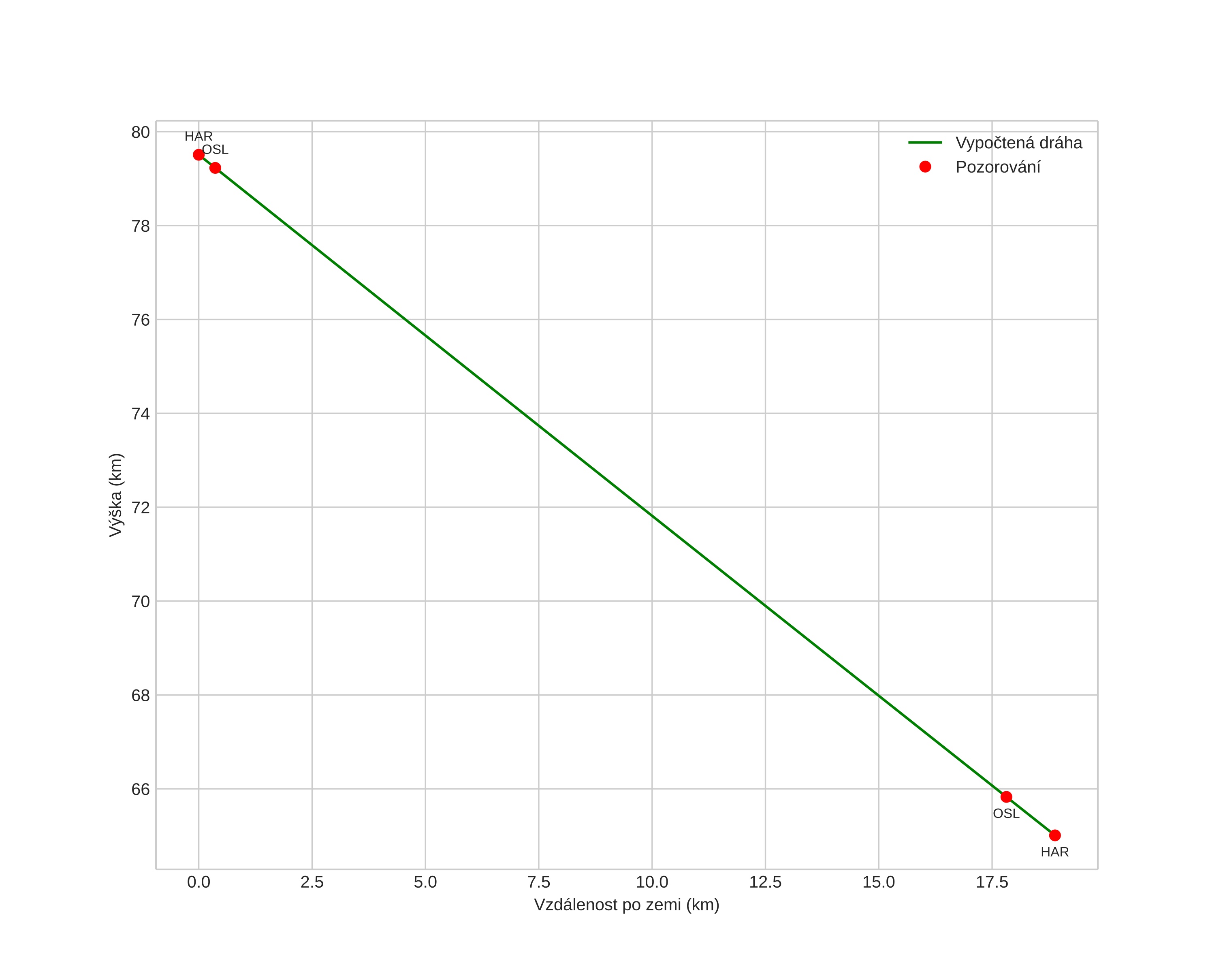
Atmosférická dráha meteoru:
Počáteční výška: 79,3 km
Konečná výška: 66,1 km
Počáteční poloha: 59,907N 9,841E
Konečná poloha: 60,061N 9,944E
Směr: 18,5°
Sklon: 36,2°
VstupnĂ­ rychlost: 15,0 km/s
Rektascenze radiantu: 03:30 (52,6°)
Deklinace radiantu: -3,9°
MeteorickĂ˝ roj: sporadickĂ˝
Elementy dráhy meteoroidu:
Vzdálenost v periheliu: 0,904 AU
Excentricita: 0,494
Sklon dráhy: 6,3°
Délka vzestupného uzlu: 79,1°
Argument perihelia: 41,3°
Střední anomálie: 347,1°
Epocha: 2024 DEC 10 22:42:48
orbit plot

NeinteraktivnĂ­ graf | InteraktivnĂ­ graf

position vs time
speed and acceleration