🇳🇴 🇬🇧 🇩🇪 🇨🇿 🇫🇮

Meteor, poloha: Fjerritslev 2024-12-11 00:45:09 UTC

Soubor KML  |  InteraktivnĂ­ mapa

Mapa zobrazuje dráhy meteoru. Světlejší čáry ukazují směry od pozorovacích stanic při objevení se meteoru a tmavší čáry, kde byl naposledy viděn. Modrá šipka značí viditelnou dráhu meteoru.

static map
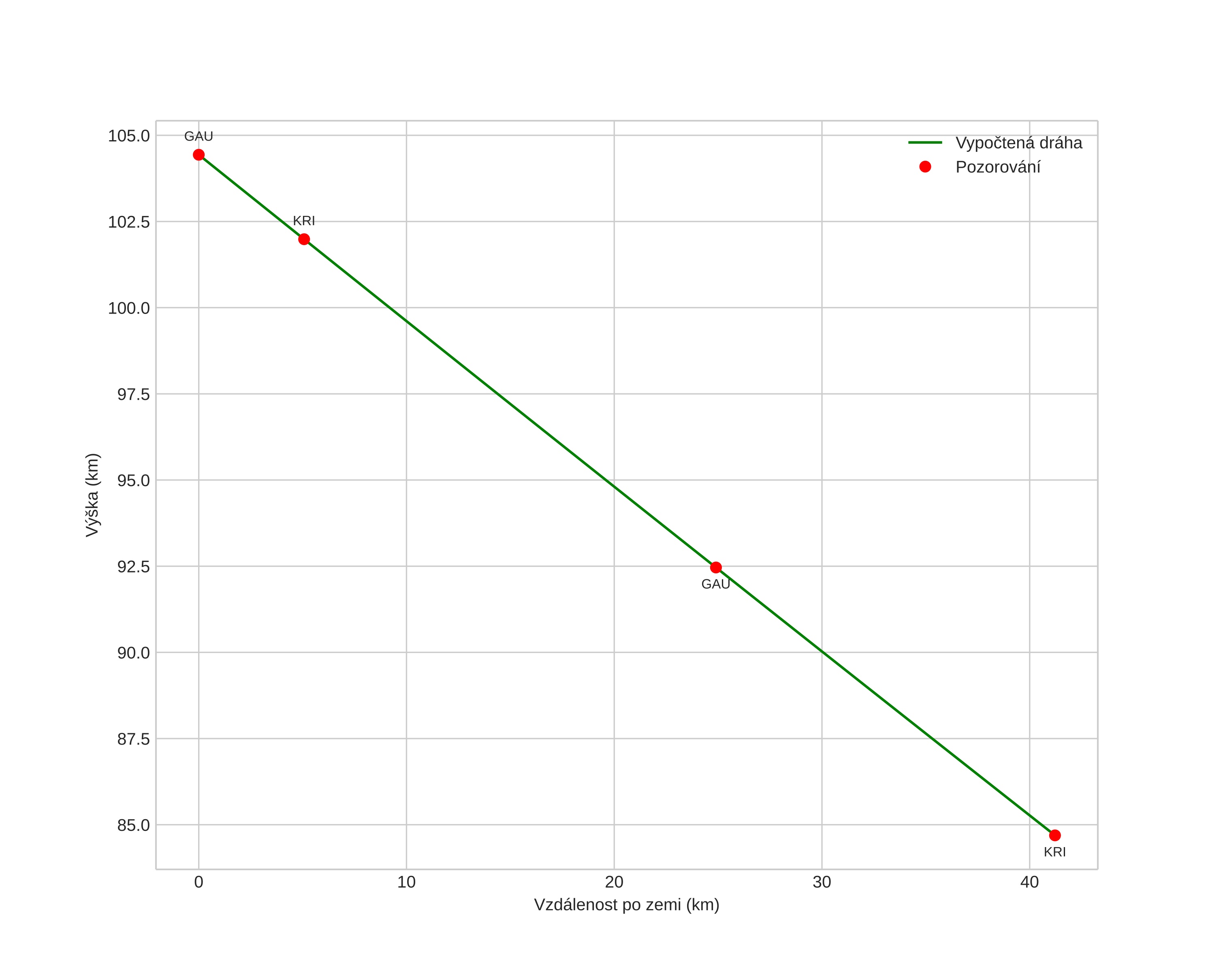
height profile
Atmosférická dráha meteoru:
Počáteční výška: 104,8 km
Konečná výška: 84,6 km
Počáteční poloha: 57,145N 9,637E
Konečná poloha: 57,180N 8,958E
Směr: 275,8°
Sklon: 26,1°
VstupnĂ­ rychlost: 68,3 km/s
Rektascenze radiantu: 11:25 (171,5°)
Deklinace radiantu: 18,5°
MeteorickĂ˝ roj: sporadickĂ˝
Elementy dráhy meteoroidu:
Vzdálenost v periheliu: 0,963 AU
Excentricita: 0,659
Sklon dráhy: 155,6°
Délka vzestupného uzlu: 259,1°
Argument perihelia: 199,3°
Střední anomálie: 357,0°
Epocha: 2024 DEC 11 00:45:09
orbit plot

NeinteraktivnĂ­ graf | InteraktivnĂ­ graf

position vs time
speed and acceleration

Gaustatoppen (GAU) cam3

gnomonic
Videa
• Původní
Obrázky
• Původní
Textové soubory
• Detekce
• Pozorování
• Souřadnice
• Protokol
Jasnost