🇳🇴 🇬🇧 🇩🇪 🇨🇿 🇫🇮

Meteor, poloha: Koppang 2024-12-11 02:20:31 UTC

Soubor KML  |  InteraktivnĂ­ mapa

Mapa zobrazuje dráhy meteoru. Světlejší čáry ukazují směry od pozorovacích stanic při objevení se meteoru a tmavší čáry, kde byl naposledy viděn. Modrá šipka značí viditelnou dráhu meteoru.

static map
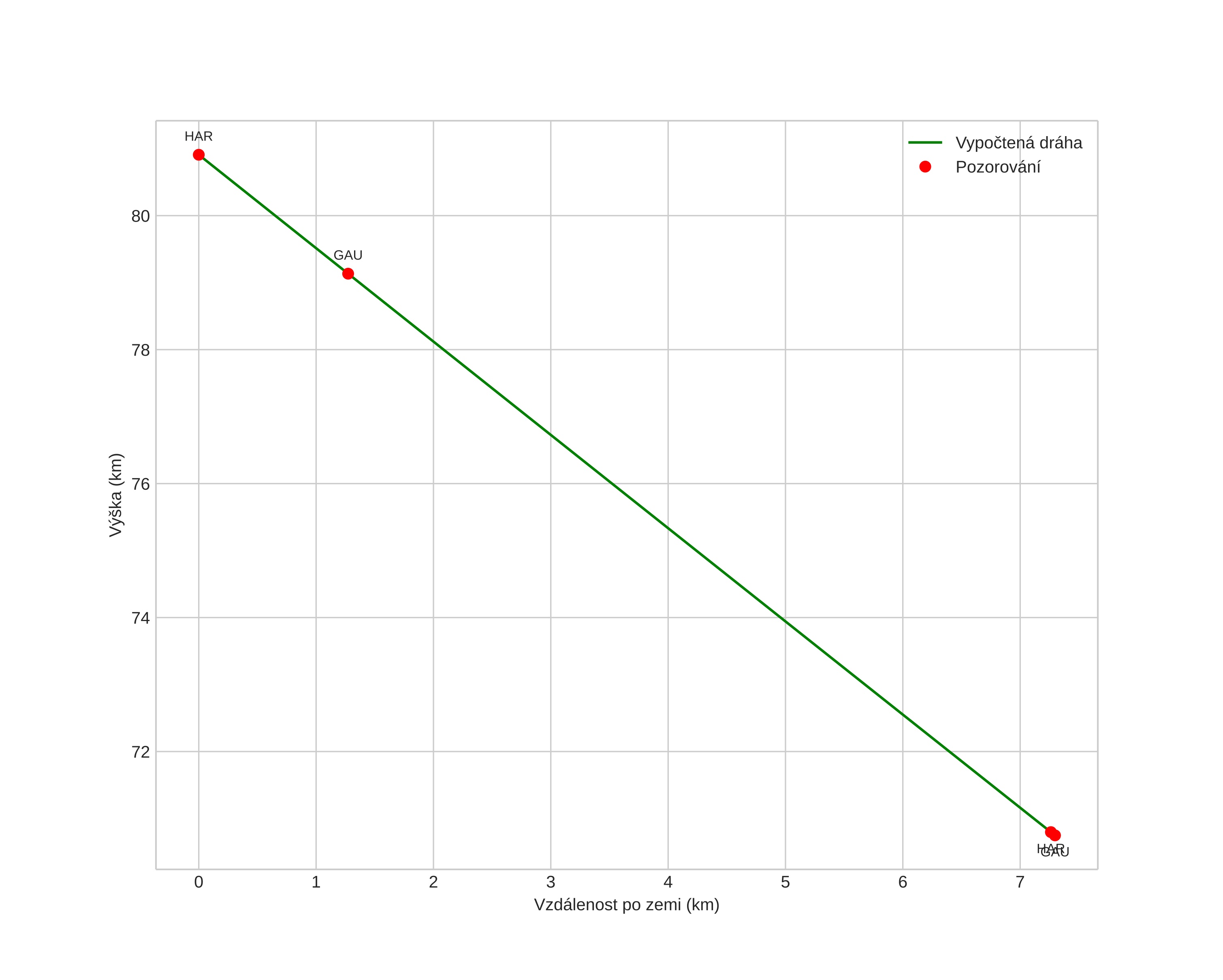
height profile
Atmosférická dráha meteoru:
Počáteční výška: 81,0 km
Konečná výška: 70,8 km
Počáteční poloha: 61,268N 10,854E
Konečná poloha: 61,284N 10,988E
Směr: 75,9°
Sklon: 54,1°
VstupnĂ­ rychlost: 23,3 km/s
Rektascenze radiantu: 05:02 (75,7°)
Deklinace radiantu: 37,6°
MeteorickĂ˝ roj: sporadickĂ˝
Elementy dráhy meteoroidu:
Vzdálenost v periheliu: 0,618 AU
Excentricita: 0,697
Sklon dráhy: 9,8°
Délka vzestupného uzlu: 259,2°
Argument perihelia: 264,7°
Střední anomálie: 344,7°
Epocha: 2024 DEC 11 02:20:31
orbit plot

NeinteraktivnĂ­ graf | InteraktivnĂ­ graf

position vs time
speed and acceleration