🇳🇴 🇬🇧 🇩🇪 🇨🇿 🇫🇮

Meteor, poloha: Krokstadøra 2024-12-11 02:21:03 UTC

Soubor KML  |  InteraktivnĂ­ mapa

Mapa zobrazuje dráhy meteoru. Světlejší čáry ukazují směry od pozorovacích stanic při objevení se meteoru a tmavší čáry, kde byl naposledy viděn. Modrá šipka značí viditelnou dráhu meteoru.

static map
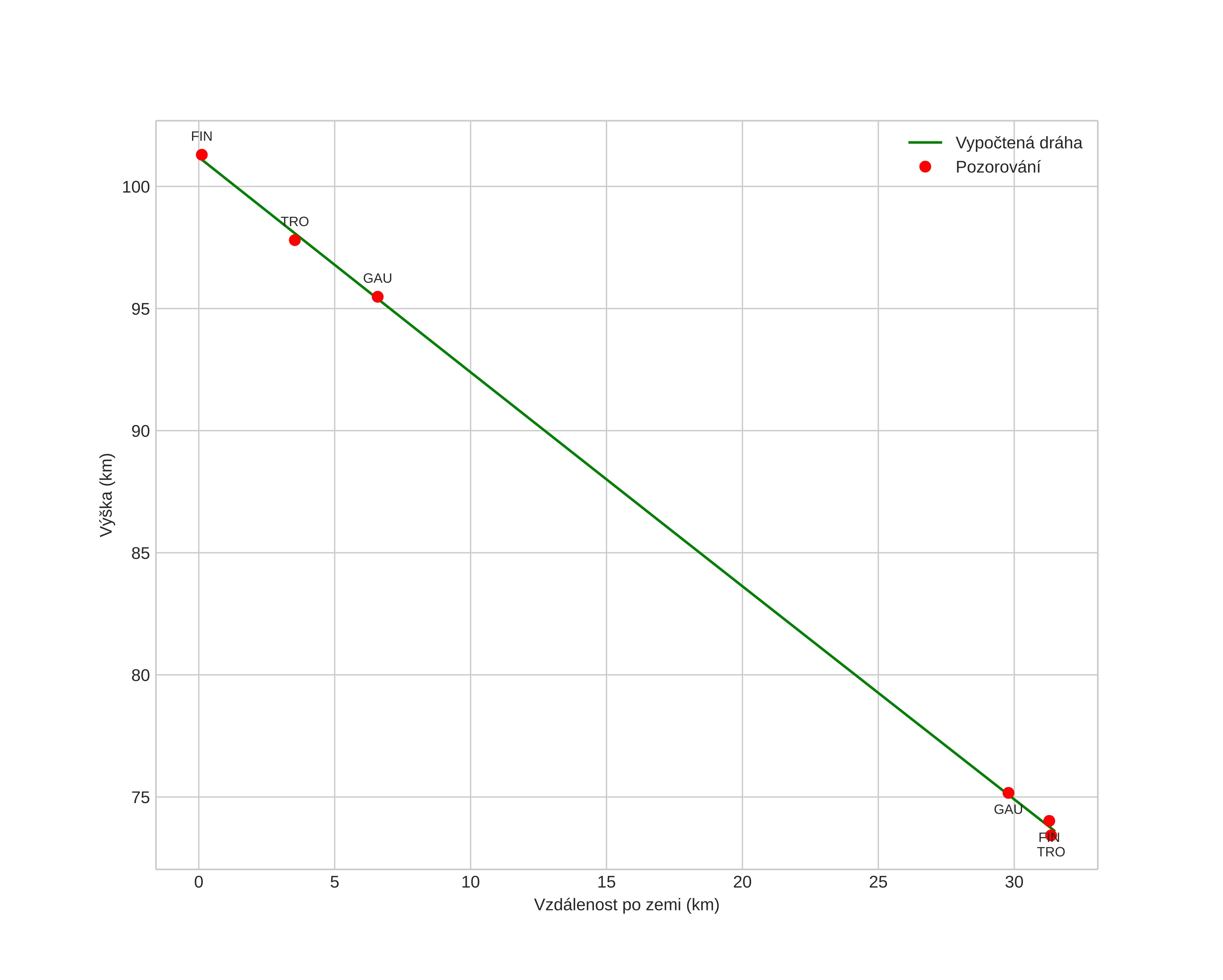
height profile
Atmosférická dráha meteoru:
Počáteční výška: 101,0 km
Konečná výška: 73,5 km
Počáteční poloha: 62,816N 9,258E
Konečná poloha: 63,063N 9,556E
Směr: 28,7°
Sklon: 41,2°
VstupnĂ­ rychlost: 44,1 km/s
Rektascenze radiantu: 06:47 (101,8°)
Deklinace radiantu: 15,7°
MeteorickĂ˝ roj: Monocerotidy
Elementy dráhy meteoroidu:
Vzdálenost v periheliu: 0,125 AU
Excentricita: 0,998
Sklon dráhy: 21,0°
Délka vzestupného uzlu: 79,2°
Argument perihelia: 138,3°
Střední anomálie: 359,9°
Epocha: 2024 DEC 11 02:21:03
orbit plot

NeinteraktivnĂ­ graf | InteraktivnĂ­ graf

position vs time
speed and acceleration