🇳🇴 🇬🇧 🇩🇪 🇨🇿 🇫🇮

Meteor, poloha: Sveg 2024-12-11 02:36:08 UTC

Soubor KML  |  InteraktivnĂ­ mapa

Mapa zobrazuje dráhy meteoru. Světlejší čáry ukazují směry od pozorovacích stanic při objevení se meteoru a tmavší čáry, kde byl naposledy viděn. Modrá šipka značí viditelnou dráhu meteoru.

static map
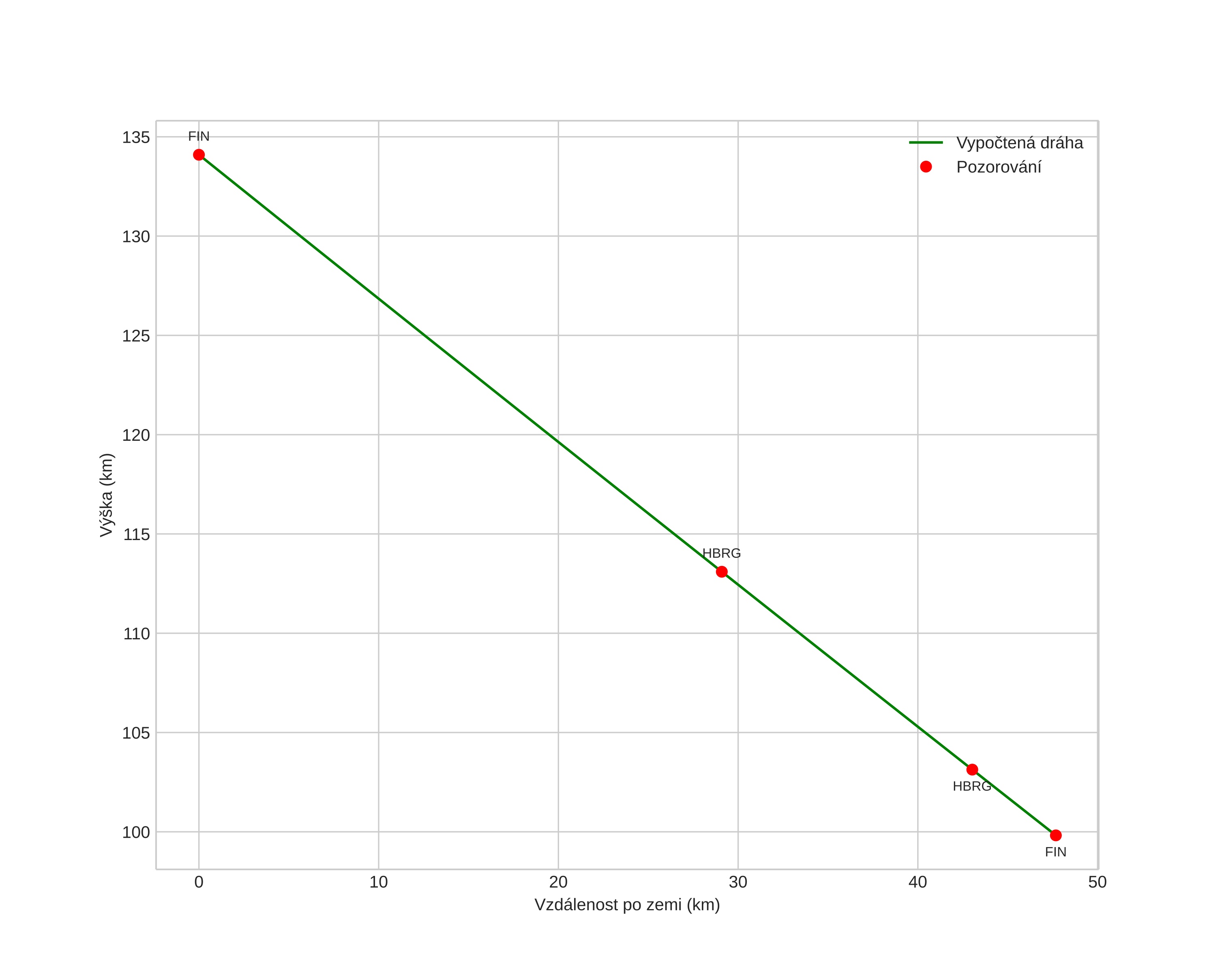
height profile
Atmosférická dráha meteoru:
Počáteční výška: 134,4 km
Konečná výška: 99,3 km
Počáteční poloha: 61,946N 15,552E
Konečná poloha: 62,240N 14,856E
Směr: 312,4°
Sklon: 35,7°
VstupnĂ­ rychlost: 73,0 km/s
Rektascenze radiantu: 11:31 (172,8°)
Deklinace radiantu: 14,7°
MeteorickĂ˝ roj: sporadickĂ˝
Elementy dráhy meteoroidu:
Vzdálenost v periheliu: 0,982 AU
Excentricita: 1,024
Sklon dráhy: 161,8°
Délka vzestupného uzlu: 259,2°
Argument perihelia: 186,1°
Střední anomálie: -0,0°
Epocha: 2024 DEC 11 02:36:08
orbit plot

NeinteraktivnĂ­ graf | InteraktivnĂ­ graf

position vs time
speed and acceleration