🇳🇴 🇬🇧 🇩🇪 🇨🇿 🇫🇮

Meteor, poloha: Skien 2024-12-11 02:40:42 UTC

Soubor KML  |  InteraktivnĂ­ mapa

Mapa zobrazuje dráhy meteoru. Světlejší čáry ukazují směry od pozorovacích stanic při objevení se meteoru a tmavší čáry, kde byl naposledy viděn. Modrá šipka značí viditelnou dráhu meteoru.

static map
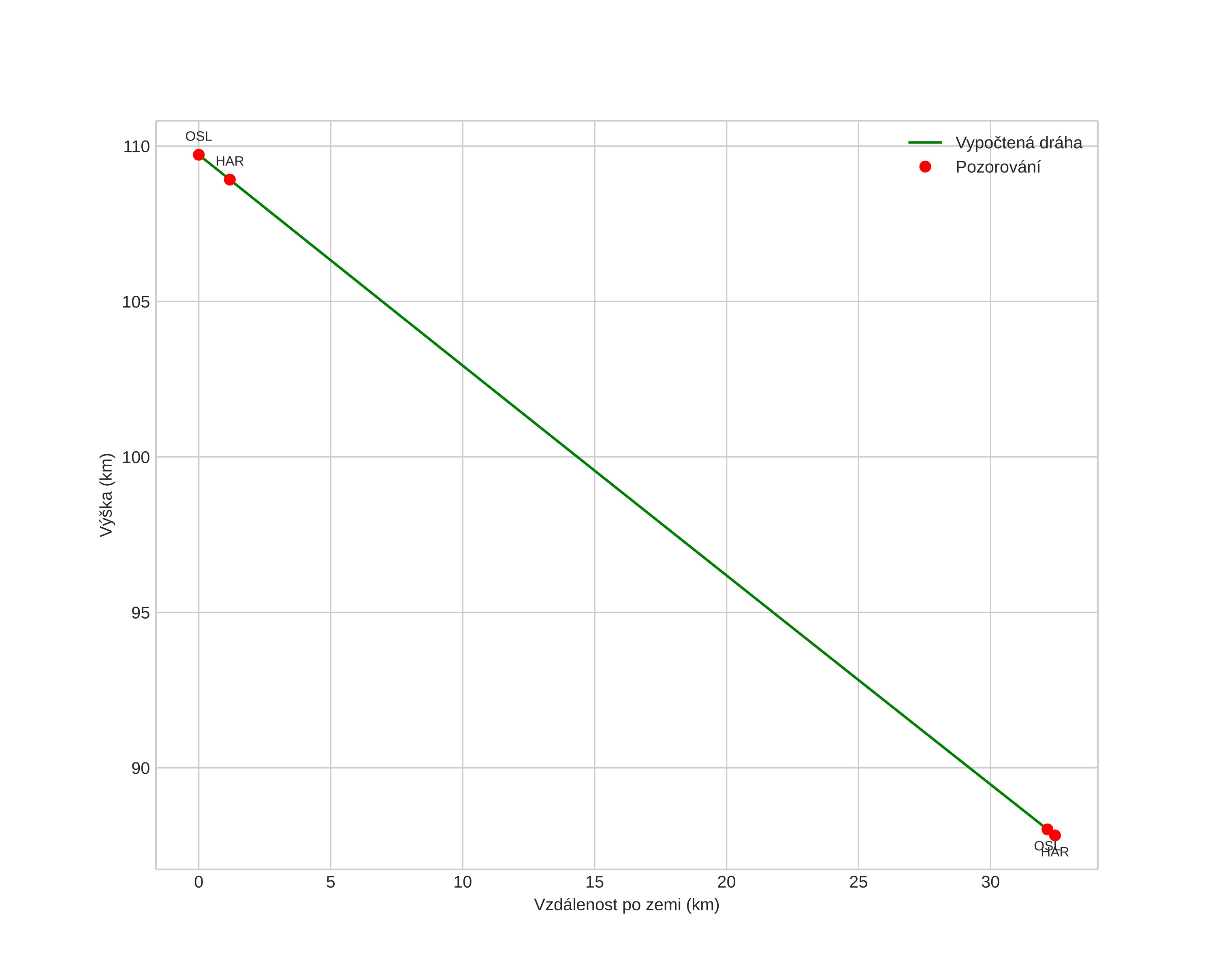
height profile
Atmosférická dráha meteoru:
Počáteční výška: 108,0 km
Konečná výška: 88,0 km
Počáteční poloha: 59,086N 9,537E
Konečná poloha: 59,361N 9,552E
Směr: 1,5°
Sklon: 33,2°
VstupnĂ­ rychlost: 55,7 km/s
Rektascenze radiantu: 08:32 (128,1°)
Deklinace radiantu: 1,8°
MeteorickĂ˝ roj: Sigma Hydridy
Elementy dráhy meteoroidu:
Vzdálenost v periheliu: 0,198 AU
Excentricita: 0,922
Sklon dráhy: 123,5°
Délka vzestupného uzlu: 79,2°
Argument perihelia: 131,7°
Střední anomálie: 351,2°
Epocha: 2024 DEC 11 02:40:42
orbit plot

NeinteraktivnĂ­ graf | InteraktivnĂ­ graf

position vs time
speed and acceleration