🇳🇴 🇬🇧 🇩🇪 🇨🇿 🇫🇮

Meteor, poloha: Vansbro 2024-12-11 02:43:41 UTC

Soubor KML  |  InteraktivnĂ­ mapa

Mapa zobrazuje dráhy meteoru. Světlejší čáry ukazují směry od pozorovacích stanic při objevení se meteoru a tmavší čáry, kde byl naposledy viděn. Modrá šipka značí viditelnou dráhu meteoru.

static map
height profile
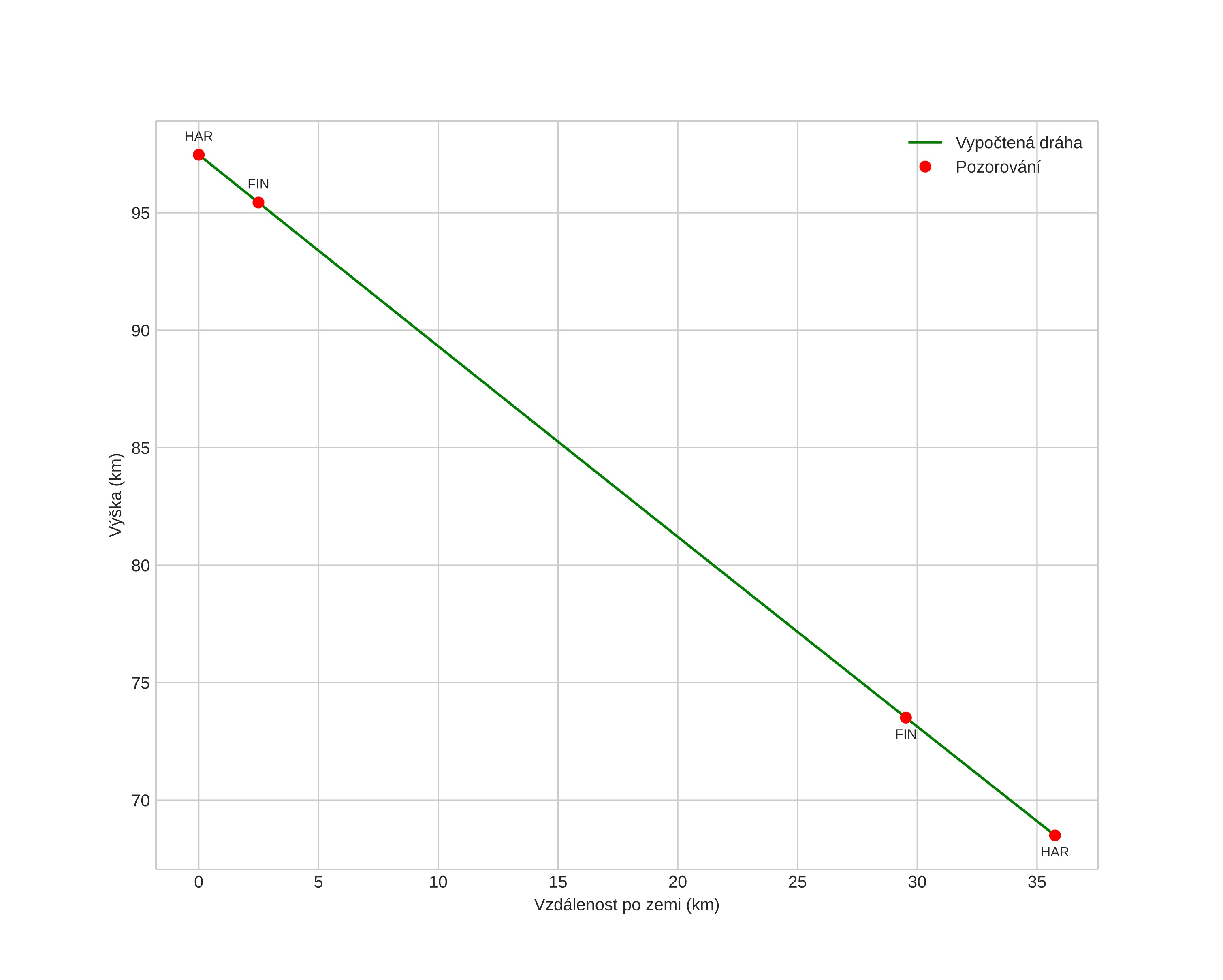
Atmosférická dráha meteoru:
Počáteční výška: 97,5 km
Konečná výška: 68,5 km
Počáteční poloha: 60,353N 13,707E
Konečná poloha: 60,542N 14,233E
Směr: 53,7°
Sklon: 39,1°
VstupnĂ­ rychlost: 28,2 km/s
Rektascenze radiantu: 06:07 (91,8°)
Deklinace radiantu: 16,5°
MeteorickĂ˝ roj: sporadickĂ˝
Elementy dráhy meteoroidu:
Vzdálenost v periheliu: 0,380 AU
Excentricita: 0,771
Sklon dráhy: 7,3°
Délka vzestupného uzlu: 79,2°
Argument perihelia: 114,3°
Střední anomálie: 339,3°
Epocha: 2024 DEC 11 02:43:41
orbit plot

NeinteraktivnĂ­ graf | InteraktivnĂ­ graf

position vs time
speed and acceleration