🇳🇴 🇬🇧 🇩🇪 🇨🇿 🇫🇮

Meteor, poloha: Heggenes 2024-12-11 02:45:11 UTC

Soubor KML  |  InteraktivnĂ­ mapa

Mapa zobrazuje dráhy meteoru. Světlejší čáry ukazují směry od pozorovacích stanic při objevení se meteoru a tmavší čáry, kde byl naposledy viděn. Modrá šipka značí viditelnou dráhu meteoru.

static map
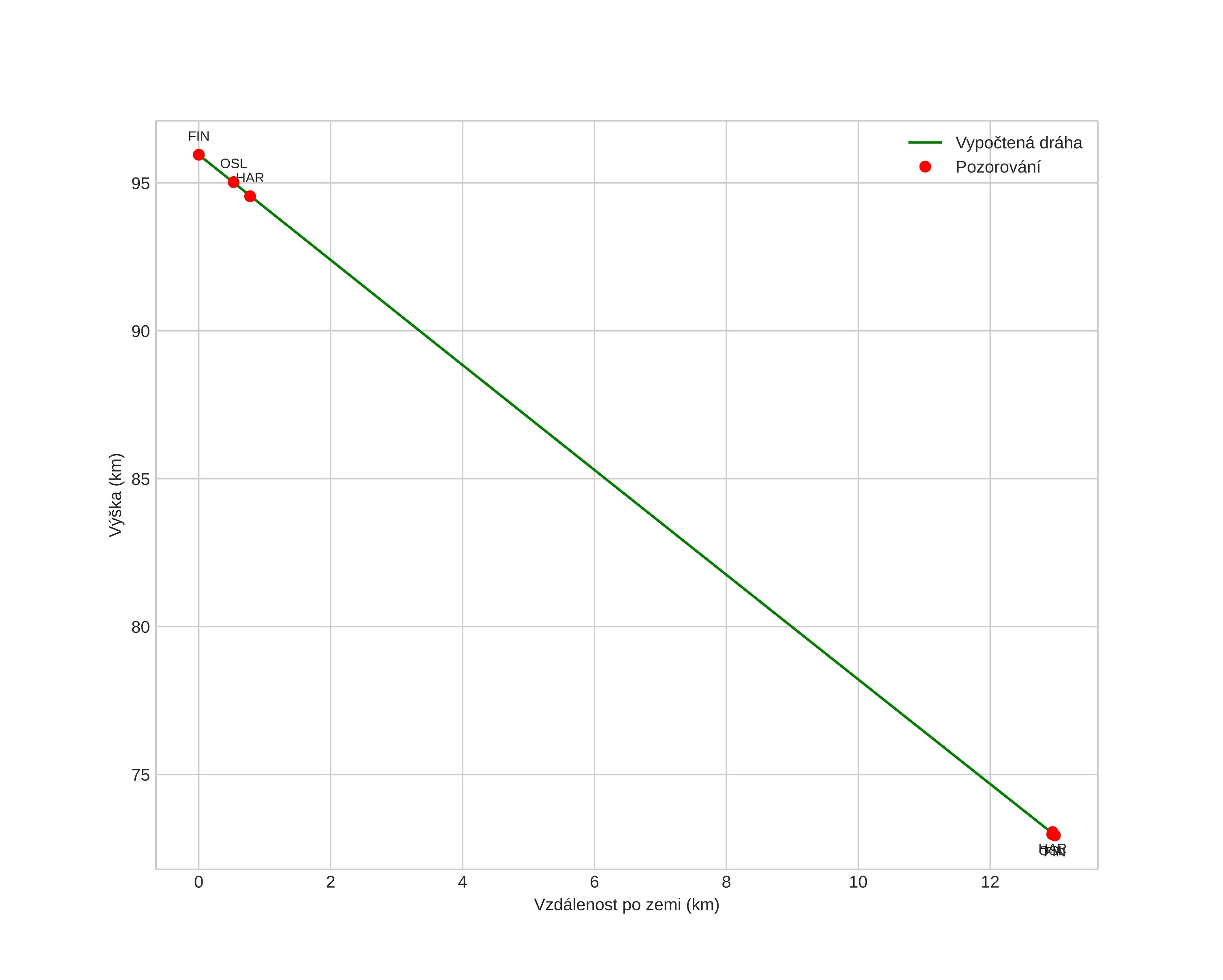
height profile
Atmosférická dráha meteoru:
Počáteční výška: 95,6 km
Konečná výška: 72,7 km
Počáteční poloha: 61,099N 8,881E
Konečná poloha: 61,201N 9,004E
Směr: 30,1°
Sklon: 60,1°
VstupnĂ­ rychlost: 35,4 km/s
Rektascenze radiantu: 07:27 (111,9°)
Deklinace radiantu: 32,5°
MeteorickĂ˝ roj: Geminidy
Elementy dráhy meteoroidu:
Vzdálenost v periheliu: 0,134 AU
Excentricita: 0,890
Sklon dráhy: 23,7°
Délka vzestupného uzlu: 259,2°
Argument perihelia: 326,5°
Střední anomálie: 332,3°
Epocha: 2024 DEC 11 02:45:11
orbit plot

NeinteraktivnĂ­ graf | InteraktivnĂ­ graf

position vs time
speed and acceleration