🇳🇴 🇬🇧 🇩🇪 🇨🇿 🇫🇮

Meteor, poloha: Mo 2024-12-11 03:36:39 UTC

Soubor KML  |  InteraktivnĂ­ mapa

Mapa zobrazuje dráhy meteoru. Světlejší čáry ukazují směry od pozorovacích stanic při objevení se meteoru a tmavší čáry, kde byl naposledy viděn. Modrá šipka značí viditelnou dráhu meteoru.

static map
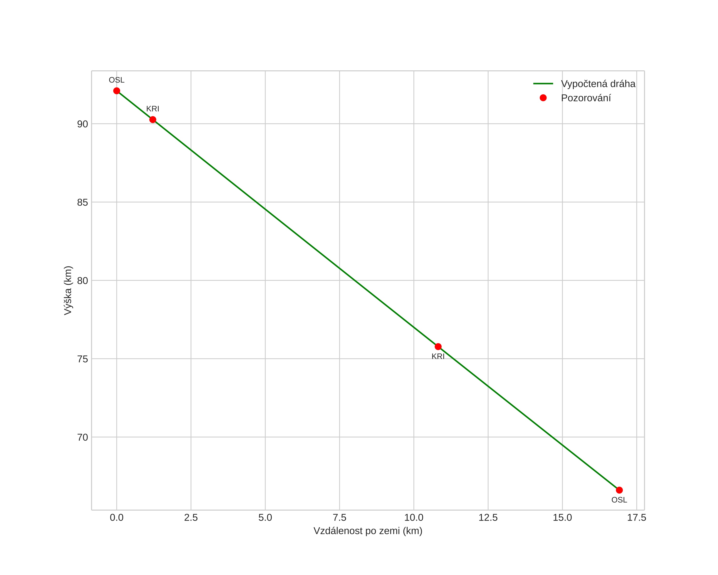
height profile
Atmosférická dráha meteoru:
Počáteční výška: 92,9 km
Konečná výška: 67,2 km
Počáteční poloha: 60,633N 5,525E
Konečná poloha: 60,734N 5,750E
Směr: 47,4°
Sklon: 57,0°
VstupnĂ­ rychlost: 36,8 km/s
Rektascenze radiantu: 07:20 (110,2°)
Deklinace radiantu: 32,5°
MeteorickĂ˝ roj: Geminidy
Elementy dráhy meteoroidu:
Vzdálenost v periheliu: 0,135 AU
Excentricita: 0,906
Sklon dráhy: 24,1°
Délka vzestupného uzlu: 259,2°
Argument perihelia: 324,6°
Střední anomálie: 339,1°
Epocha: 2024 DEC 11 03:36:39
orbit plot

NeinteraktivnĂ­ graf | InteraktivnĂ­ graf

position vs time
speed and acceleration