🇳🇴 🇬🇧 🇩🇪 🇨🇿 🇫🇮

Meteor, poloha: Ă…ndalsnes 2024-12-11 03:48:19 UTC

Soubor KML  |  InteraktivnĂ­ mapa

Mapa zobrazuje dráhy meteoru. Světlejší čáry ukazují směry od pozorovacích stanic při objevení se meteoru a tmavší čáry, kde byl naposledy viděn. Modrá šipka značí viditelnou dráhu meteoru.

static map
height profile
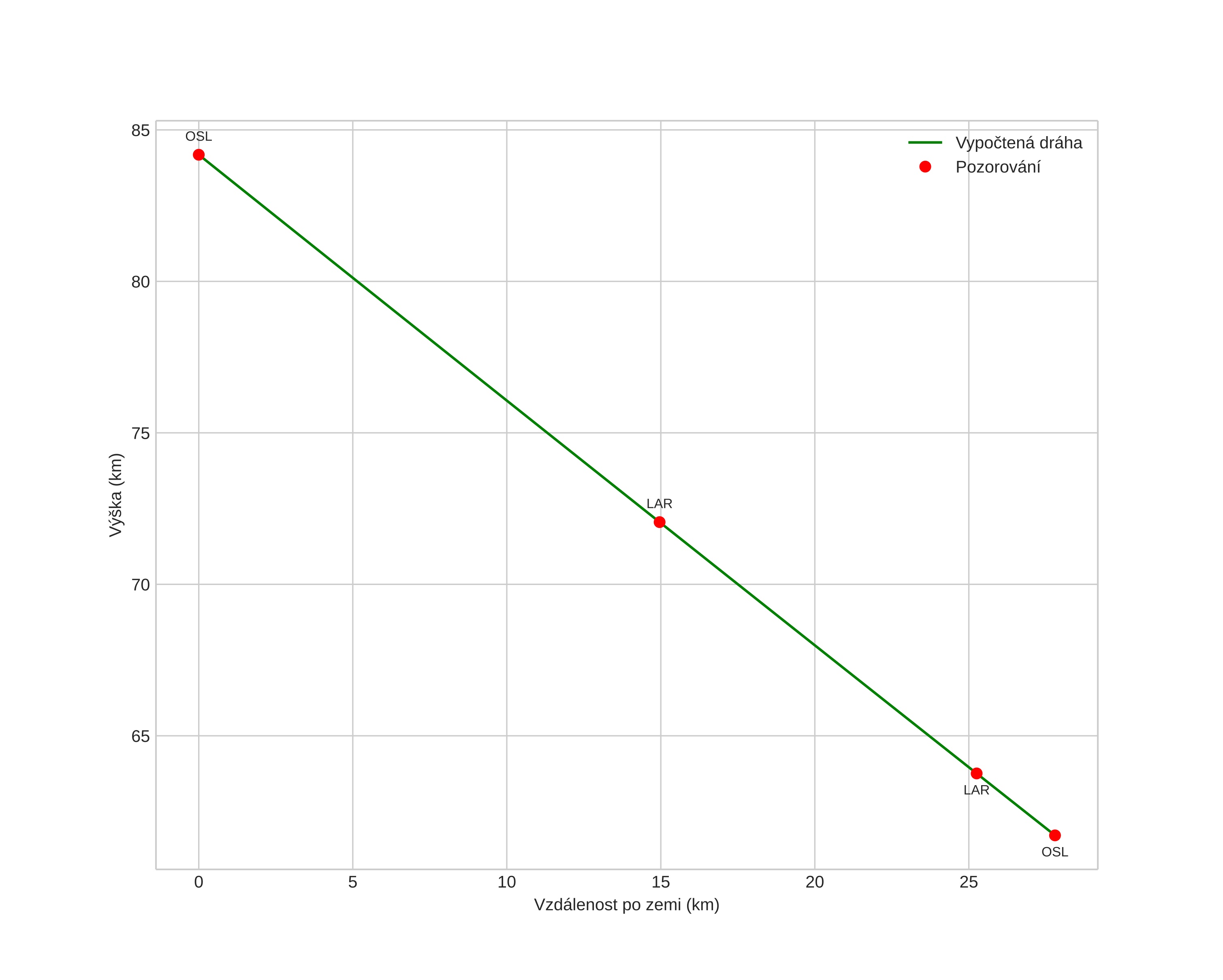
Atmosférická dráha meteoru:
Počáteční výška: 87,4 km
Konečná výška: 59,6 km
Počáteční poloha: 62,023N 6,888E
Konečná poloha: 62,070N 7,555E
Směr: 81,1°
Sklon: 38,3°
VstupnĂ­ rychlost: 29,6 km/s
Rektascenze radiantu: 05:18 (79,7°)
Deklinace radiantu: 27,4°
MeteorickĂ˝ roj: sporadickĂ˝
Elementy dráhy meteoroidu:
Vzdálenost v periheliu: 0,499 AU
Excentricita: 0,912
Sklon dráhy: 4,0°
Délka vzestupného uzlu: 259,2°
Argument perihelia: 272,0°
Střední anomálie: 357,1°
Epocha: 2024 DEC 11 03:48:19
orbit plot

NeinteraktivnĂ­ graf | InteraktivnĂ­ graf

position vs time
speed and acceleration