🇳🇴 🇬🇧 🇩🇪 🇨🇿 🇫🇮

Meteor, poloha: Berger 2024-12-11 03:50:35 UTC

Soubor KML  |  InteraktivnĂ­ mapa

Mapa zobrazuje dráhy meteoru. Světlejší čáry ukazují směry od pozorovacích stanic při objevení se meteoru a tmavší čáry, kde byl naposledy viděn. Modrá šipka značí viditelnou dráhu meteoru.

static map
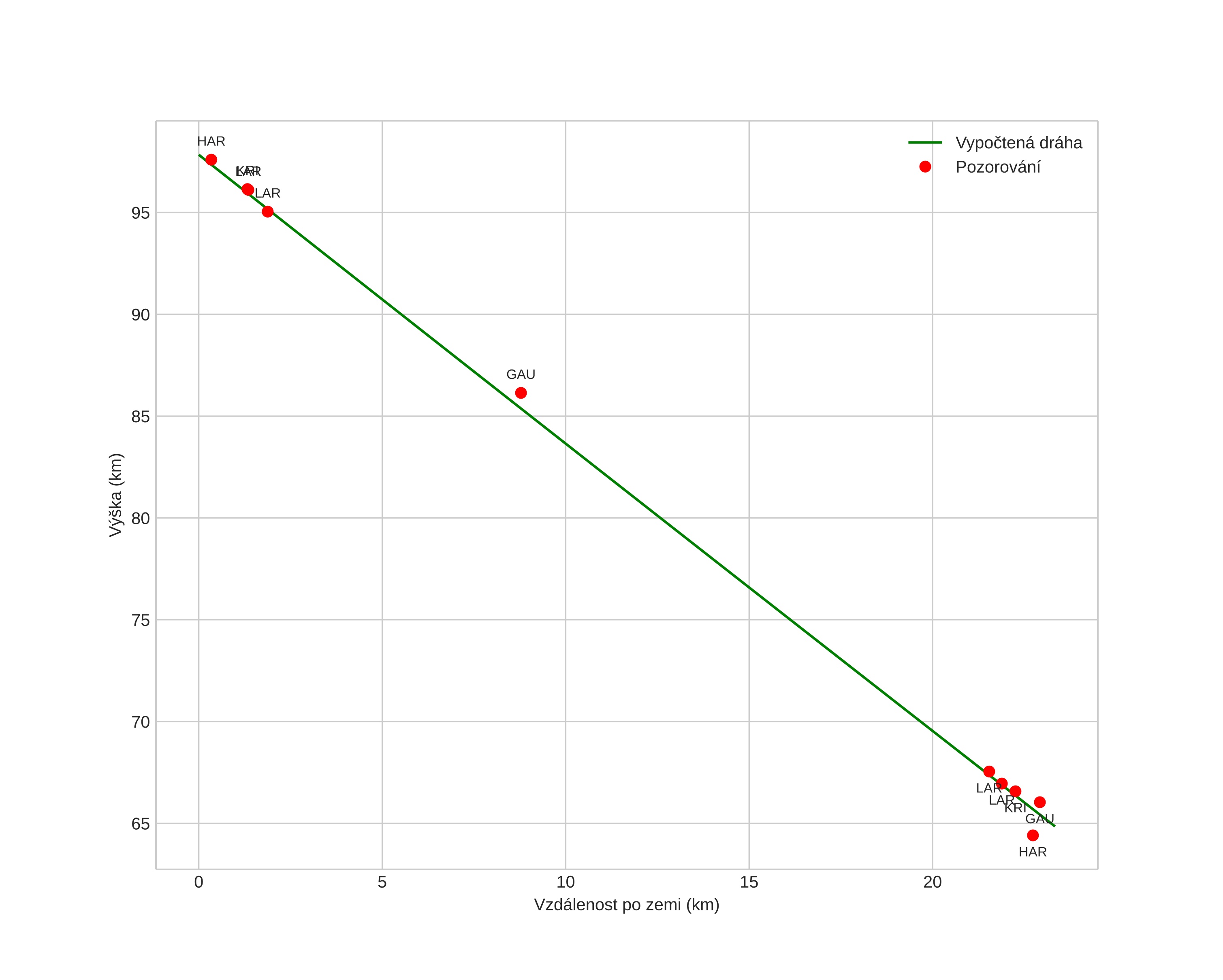
height profile
Atmosférická dráha meteoru:
Počáteční výška: 98,5 km
Konečná výška: 65,3 km
Počáteční poloha: 59,420N 10,006E
Konečná poloha: 59,527N 10,350E
Směr: 58,3°
Sklon: 55,5°
VstupnĂ­ rychlost: 35,4 km/s
Rektascenze radiantu: 07:24 (111,2°)
Deklinace radiantu: 32,9°
MeteorickĂ˝ roj: Geminidy
Elementy dráhy meteoroidu:
Vzdálenost v periheliu: 0,142 AU
Excentricita: 0,889
Sklon dráhy: 23,9°
Délka vzestupného uzlu: 259,2°
Argument perihelia: 325,1°
Střední anomálie: 333,9°
Epocha: 2024 DEC 11 03:50:35
orbit plot

NeinteraktivnĂ­ graf | InteraktivnĂ­ graf

position vs time
speed and acceleration

Gaustatoppen (GAU) cam3

gnomonic
Videa
• Původní
Obrázky
• Původní
Textové soubory
• Detekce
• Pozorování
• Souřadnice
• Protokol
Jasnost