🇳🇴 🇬🇧 🇩🇪 🇨🇿 🇫🇮

Meteor, poloha: Stryn 2024-12-11 03:54:26 UTC

Soubor KML  |  InteraktivnĂ­ mapa

Mapa zobrazuje dráhy meteoru. Světlejší čáry ukazují směry od pozorovacích stanic při objevení se meteoru a tmavší čáry, kde byl naposledy viděn. Modrá šipka značí viditelnou dráhu meteoru.

static map
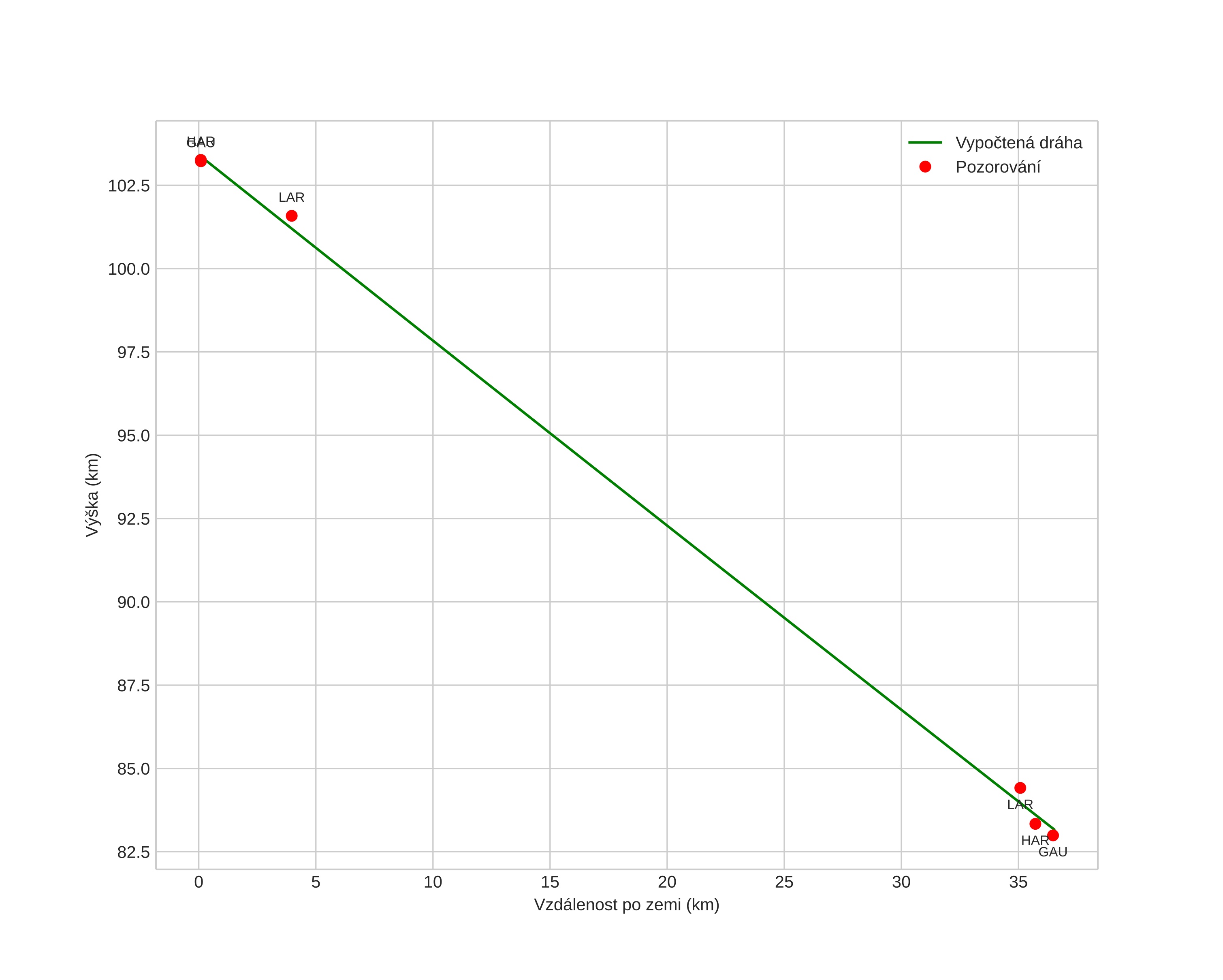
height profile
Atmosférická dráha meteoru:
Počáteční výška: 105,4 km
Konečná výška: 83,1 km
Počáteční poloha: 61,370N 6,272E
Konečná poloha: 61,591N 6,858E
Směr: 51,4°
Sklon: 29,3°
VstupnĂ­ rychlost: 45,6 km/s
Rektascenze radiantu: 06:42 (100,6°)
Deklinace radiantu: 8,8°
MeteorickĂ˝ roj: Monocerotidy
Elementy dráhy meteoroidu:
Vzdálenost v periheliu: 0,177 AU
Excentricita: 1,028
Sklon dráhy: 37,1°
Délka vzestupného uzlu: 79,3°
Argument perihelia: 128,1°
Střední anomálie: -2,0°
Epocha: 2024 DEC 11 03:54:26
orbit plot

NeinteraktivnĂ­ graf | InteraktivnĂ­ graf

position vs time
speed and acceleration