🇳🇴 🇬🇧 🇩🇪 🇨🇿 🇫🇮

Meteor, poloha: Dalen 2024-12-11 04:19:25 UTC

Soubor KML  |  InteraktivnĂ­ mapa

Mapa zobrazuje dráhy meteoru. Světlejší čáry ukazují směry od pozorovacích stanic při objevení se meteoru a tmavší čáry, kde byl naposledy viděn. Modrá šipka značí viditelnou dráhu meteoru.

static map
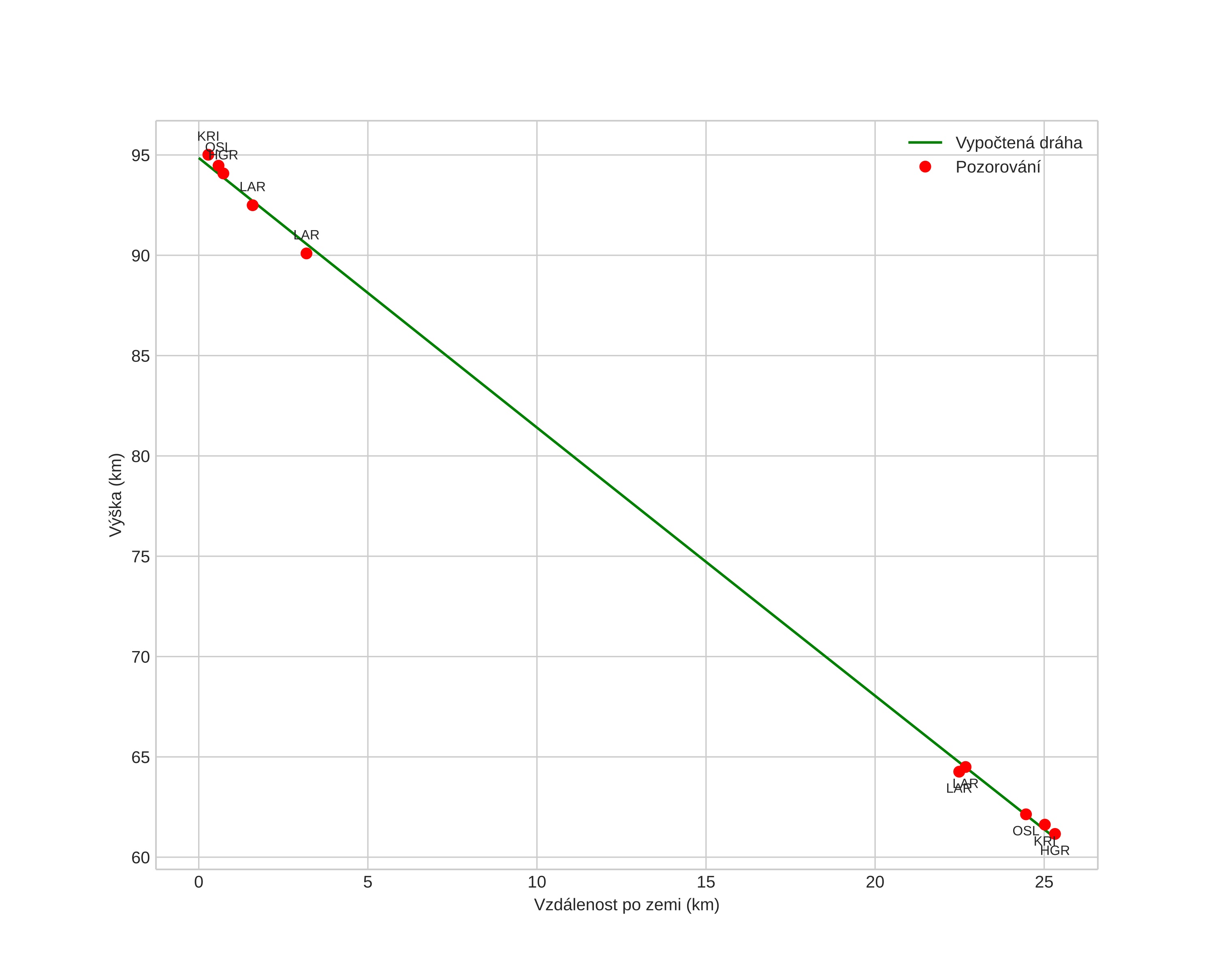
height profile
Atmosférická dráha meteoru:
Počáteční výška: 97,7 km
Konečná výška: 61,1 km
Počáteční poloha: 59,342N 7,729E
Konečná poloha: 59,447N 8,165E
Směr: 64,6°
Sklon: 53,3°
VstupnĂ­ rychlost: 36,5 km/s
Rektascenze radiantu: 07:23 (110,9°)
Deklinace radiantu: 33,0°
MeteorickĂ˝ roj: Geminidy
Elementy dráhy meteoroidu:
Vzdálenost v periheliu: 0,135 AU
Excentricita: 0,902
Sklon dráhy: 25,4°
Délka vzestupného uzlu: 259,3°
Argument perihelia: 325,0°
Střední anomálie: 337,4°
Epocha: 2024 DEC 11 04:19:25
orbit plot

NeinteraktivnĂ­ graf | InteraktivnĂ­ graf

position vs time
speed and acceleration