🇳🇴 🇬🇧 🇩🇪 🇨🇿 🇫🇮

Meteor, poloha: Vikersund 2024-12-11 05:19:12 UTC

Soubor KML

Mapa zobrazuje dráhy meteoru. Světlejší čáry ukazují směry od pozorovacích stanic při objevení se meteoru a tmavší čáry, kde byl naposledy viděn. Modrá šipka značí viditelnou dráhu meteoru.

static map
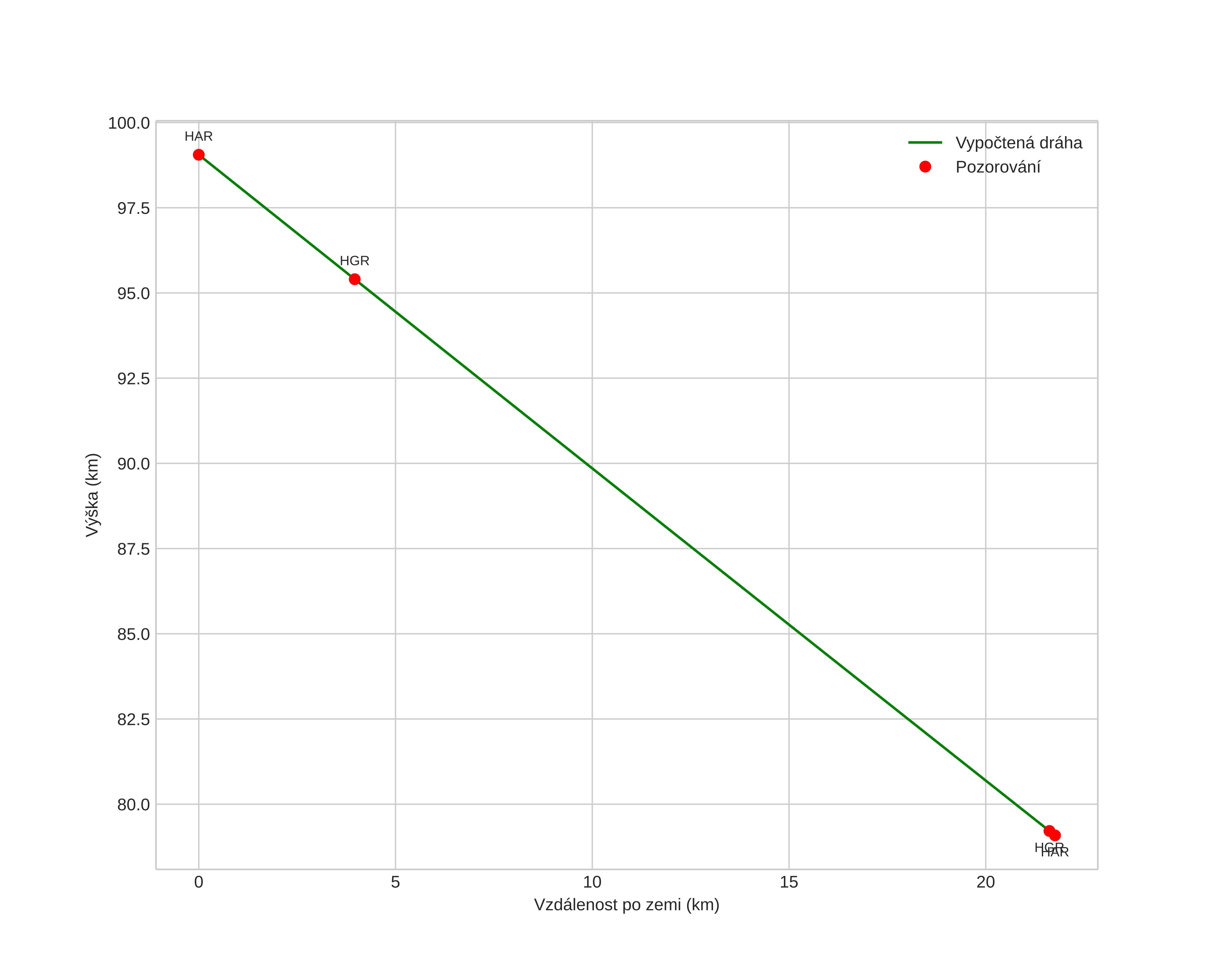
height profile
Atmosférická dráha meteoru:
Počáteční výška: 99,1 km
Konečná výška: 79,1 km
Počáteční poloha: 59,891N 9,725E
Konečná poloha: 59,920N 10,111E
Směr: 81,4°
Sklon: 42,6°
VstupnĂ­ rychlost: 34,5 km/s
Rektascenze radiantu: 07:16 (109,2°)
Deklinace radiantu: 30,7°
MeteorickĂ˝ roj: Geminidy
Elementy dráhy meteoroidu:
Vzdálenost v periheliu: 0,150 AU
Excentricita: 0,882
Sklon dráhy: 17,3°
Délka vzestupného uzlu: 259,3°
Argument perihelia: 324,0°
Střední anomálie: 333,5°
Epocha: 2024 DEC 11 05:19:12
orbit plot

NeinteraktivnĂ­ graf

position vs time
speed and acceleration