🇳🇴 🇬🇧 🇩🇪 🇨🇿 🇫🇮

Meteor, poloha: Hamar 2024-12-11 05:25:22 UTC

Soubor KML  |  InteraktivnĂ­ mapa

Mapa zobrazuje dráhy meteoru. Světlejší čáry ukazují směry od pozorovacích stanic při objevení se meteoru a tmavší čáry, kde byl naposledy viděn. Modrá šipka značí viditelnou dráhu meteoru.

static map
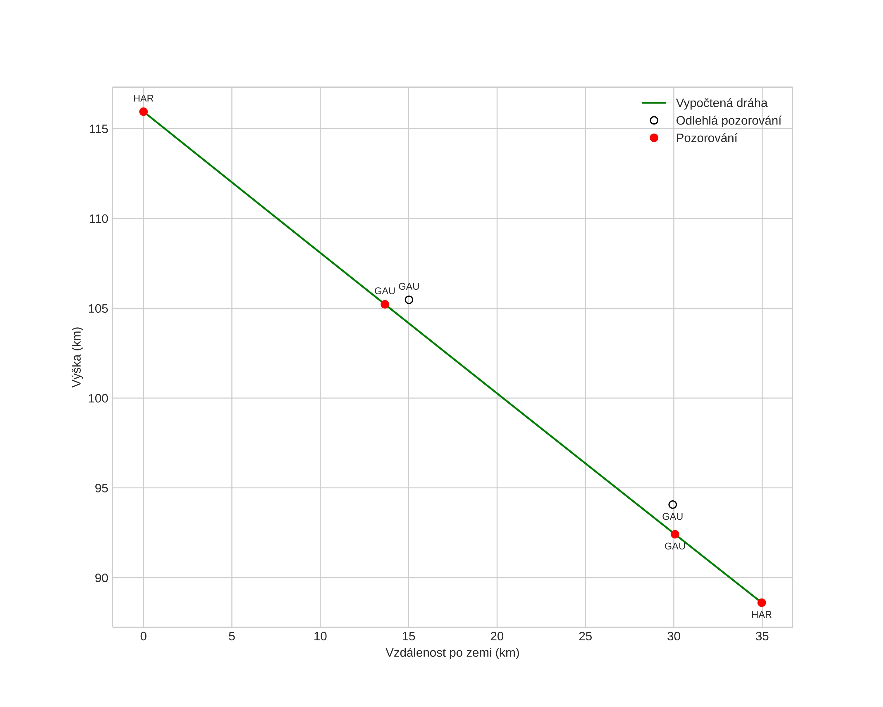
height profile
Atmosférická dráha meteoru:
Počáteční výška: 114,5 km
Konečná výška: 89,1 km
Počáteční poloha: 60,737N 10,382E
Konečná poloha: 60,810N 11,014E
Směr: 76,4°
Sklon: 35,7°
VstupnĂ­ rychlost: 38,4 km/s
Rektascenze radiantu: 07:22 (110,7°)
Deklinace radiantu: 23,4°
MeteorickĂ˝ roj: Geminidy
Elementy dráhy meteoroidu:
Vzdálenost v periheliu: 0,081 AU
Excentricita: 0,944
Sklon dráhy: 4,0°
Délka vzestupného uzlu: 259,3°
Argument perihelia: 332,8°
Střední anomálie: 340,7°
Epocha: 2024 DEC 11 05:25:22
orbit plot

NeinteraktivnĂ­ graf | InteraktivnĂ­ graf

position vs time
speed and acceleration

Gaustatoppen (GAU) cam6

gnomonic
Videa
• Původní
Obrázky
• Původní
Textové soubory
• Detekce
• Pozorování
• Souřadnice
• Protokol
Jasnost