🇳🇴 🇬🇧 🇩🇪 🇨🇿 🇫🇮

Meteor, poloha: Rollag 2024-12-12 00:59:50 UTC

Soubor KML  |  InteraktivnĂ­ mapa

Mapa zobrazuje dráhy meteoru. Světlejší čáry ukazují směry od pozorovacích stanic při objevení se meteoru a tmavší čáry, kde byl naposledy viděn. Modrá šipka značí viditelnou dráhu meteoru.

static map
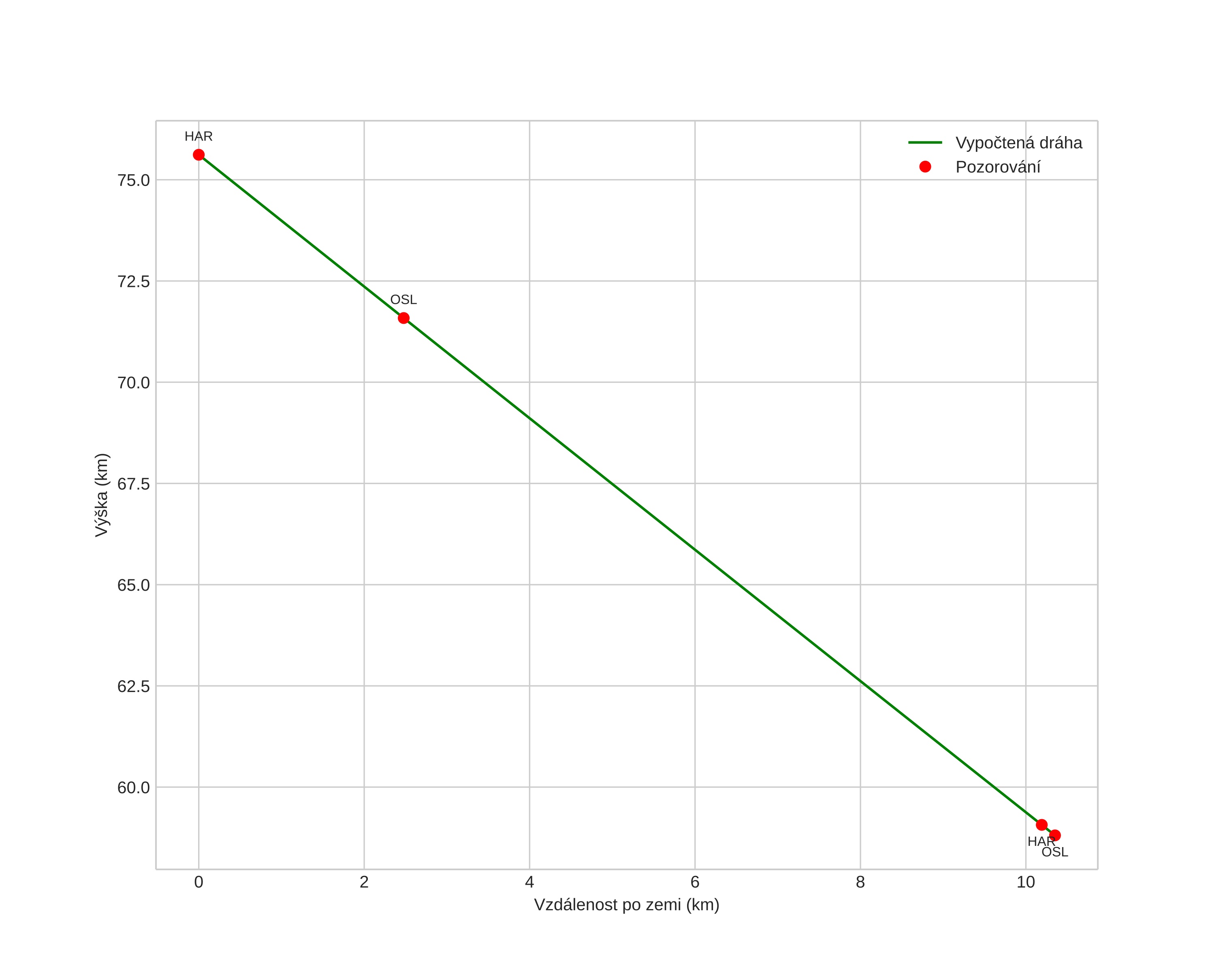
height profile
Atmosférická dráha meteoru:
Počáteční výška: 80,1 km
Konečná výška: 58,7 km
Počáteční poloha: 59,957N 9,169E
Konečná poloha: 60,043N 9,152E
Směr: 354,6°
Sklon: 65,7°
VstupnĂ­ rychlost: 31,3 km/s
Rektascenze radiantu: 07:08 (107,1°)
Deklinace radiantu: 34,8°
MeteorickĂ˝ roj: Geminidy
Elementy dráhy meteoroidu:
Vzdálenost v periheliu: 0,231 AU
Excentricita: 0,810
Sklon dráhy: 18,5°
Délka vzestupného uzlu: 260,1°
Argument perihelia: 315,3°
Střední anomálie: 328,7°
Epocha: 2024 DEC 12 00:59:50
orbit plot

NeinteraktivnĂ­ graf | InteraktivnĂ­ graf

position vs time
speed and acceleration