🇳🇴 🇬🇧 🇩🇪 🇨🇿 🇫🇮

Meteor, poloha: Lampeland 2024-12-12 02:36:31 UTC

Soubor KML  |  InteraktivnĂ­ mapa

Mapa zobrazuje dráhy meteoru. Světlejší čáry ukazují směry od pozorovacích stanic při objevení se meteoru a tmavší čáry, kde byl naposledy viděn. Modrá šipka značí viditelnou dráhu meteoru.

static map
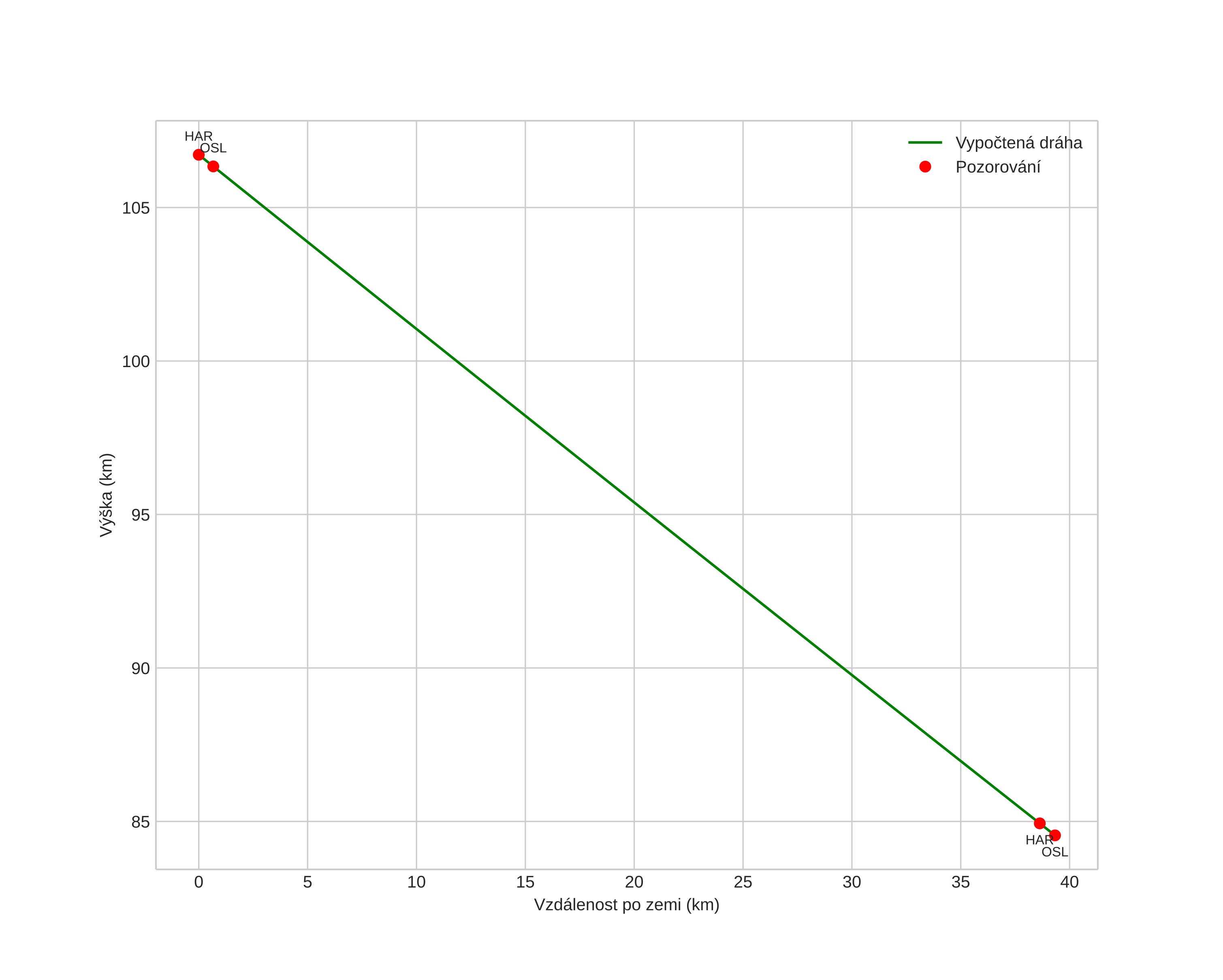
height profile
Atmosférická dráha meteoru:
Počáteční výška: 106,9 km
Konečná výška: 83,9 km
Počáteční poloha: 59,422N 9,069E
Konečná poloha: 59,743N 9,419E
Směr: 28,7°
Sklon: 29,4°
VstupnĂ­ rychlost: 43,3 km/s
Rektascenze radiantu: 06:55 (103,8°)
Deklinace radiantu: 0,9°
MeteorickĂ˝ roj: Monocerotidy
Elementy dráhy meteoroidu:
Vzdálenost v periheliu: 0,243 AU
Excentricita: 0,974
Sklon dráhy: 48,2°
Délka vzestupného uzlu: 80,2°
Argument perihelia: 121,8°
Střední anomálie: 358,8°
Epocha: 2024 DEC 12 02:36:31
orbit plot

NeinteraktivnĂ­ graf | InteraktivnĂ­ graf

position vs time
speed and acceleration