🇳🇴 🇬🇧 🇩🇪 🇨🇿 🇫🇮

Meteor, poloha: HjelmelandsvĂĄgen 2024-12-12 04:13:17 UTC

Soubor KML  |  InteraktivnĂ­ mapa

Mapa zobrazuje dráhy meteoru. Světlejší čáry ukazují směry od pozorovacích stanic při objevení se meteoru a tmavší čáry, kde byl naposledy viděn. Modrá šipka značí viditelnou dráhu meteoru.

static map
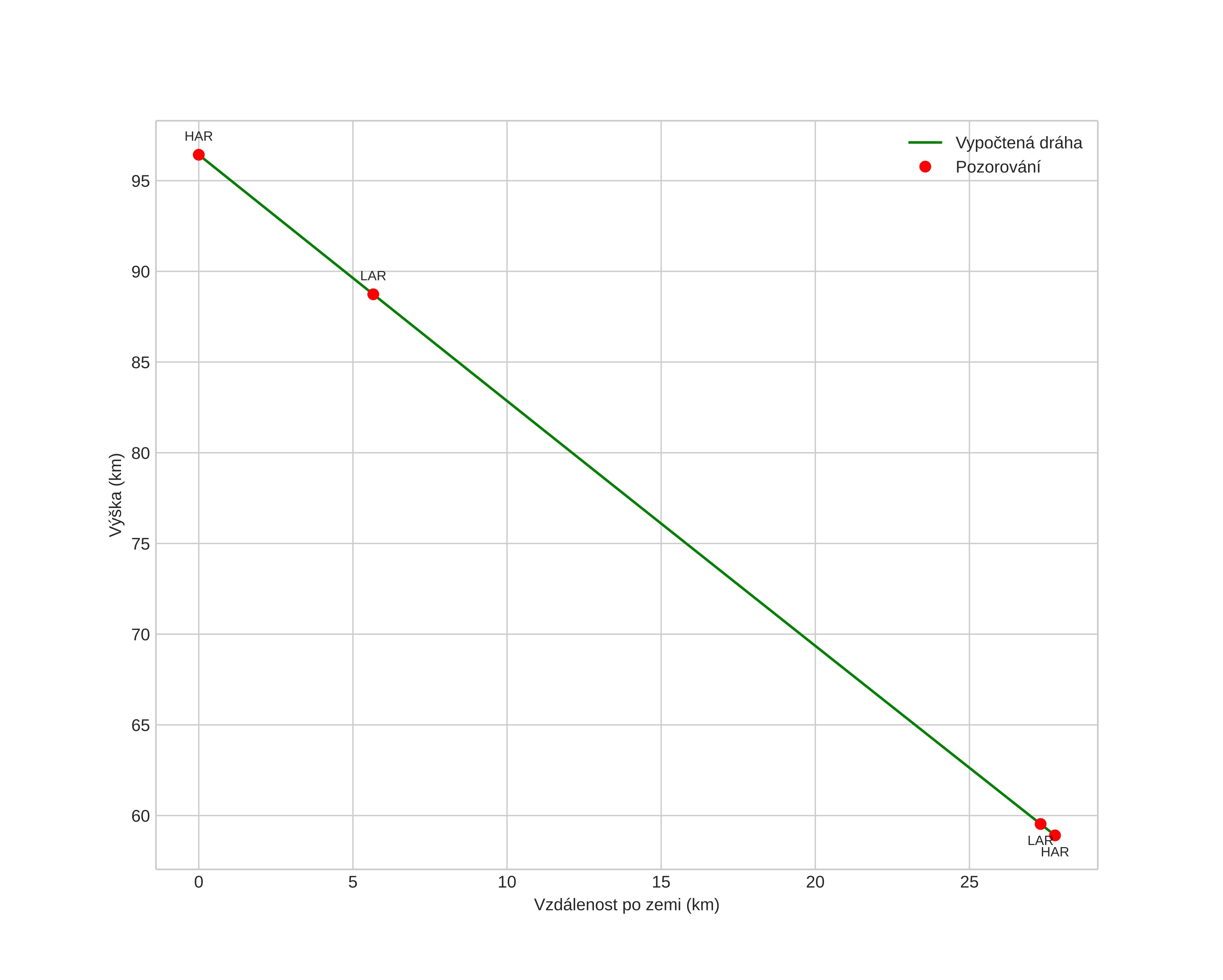
height profile
Atmosférická dráha meteoru:
Počáteční výška: 97,0 km
Konečná výška: 58,9 km
Počáteční poloha: 59,049N 6,204E
Konečná poloha: 59,171N 6,633E
Směr: 60,9°
Sklon: 53,7°
VstupnĂ­ rychlost: 36,3 km/s
Rektascenze radiantu: 07:26 (111,6°)
Deklinace radiantu: 31,9°
MeteorickĂ˝ roj: Geminidy
Elementy dráhy meteoroidu:
Vzdálenost v periheliu: 0,134 AU
Excentricita: 0,902
Sklon dráhy: 22,9°
Délka vzestupného uzlu: 260,3°
Argument perihelia: 325,2°
Střední anomálie: 337,3°
Epocha: 2024 DEC 12 04:13:17
orbit plot

NeinteraktivnĂ­ graf | InteraktivnĂ­ graf

position vs time
speed and acceleration