🇳🇴 🇬🇧 🇩🇪 🇨🇿 🇫🇮

Meteor, poloha: Frederikshavn 2024-12-12 04:16:44 UTC

Soubor KML  |  InteraktivnĂ­ mapa

Mapa zobrazuje dráhy meteoru. Světlejší čáry ukazují směry od pozorovacích stanic při objevení se meteoru a tmavší čáry, kde byl naposledy viděn. Modrá šipka značí viditelnou dráhu meteoru.

static map
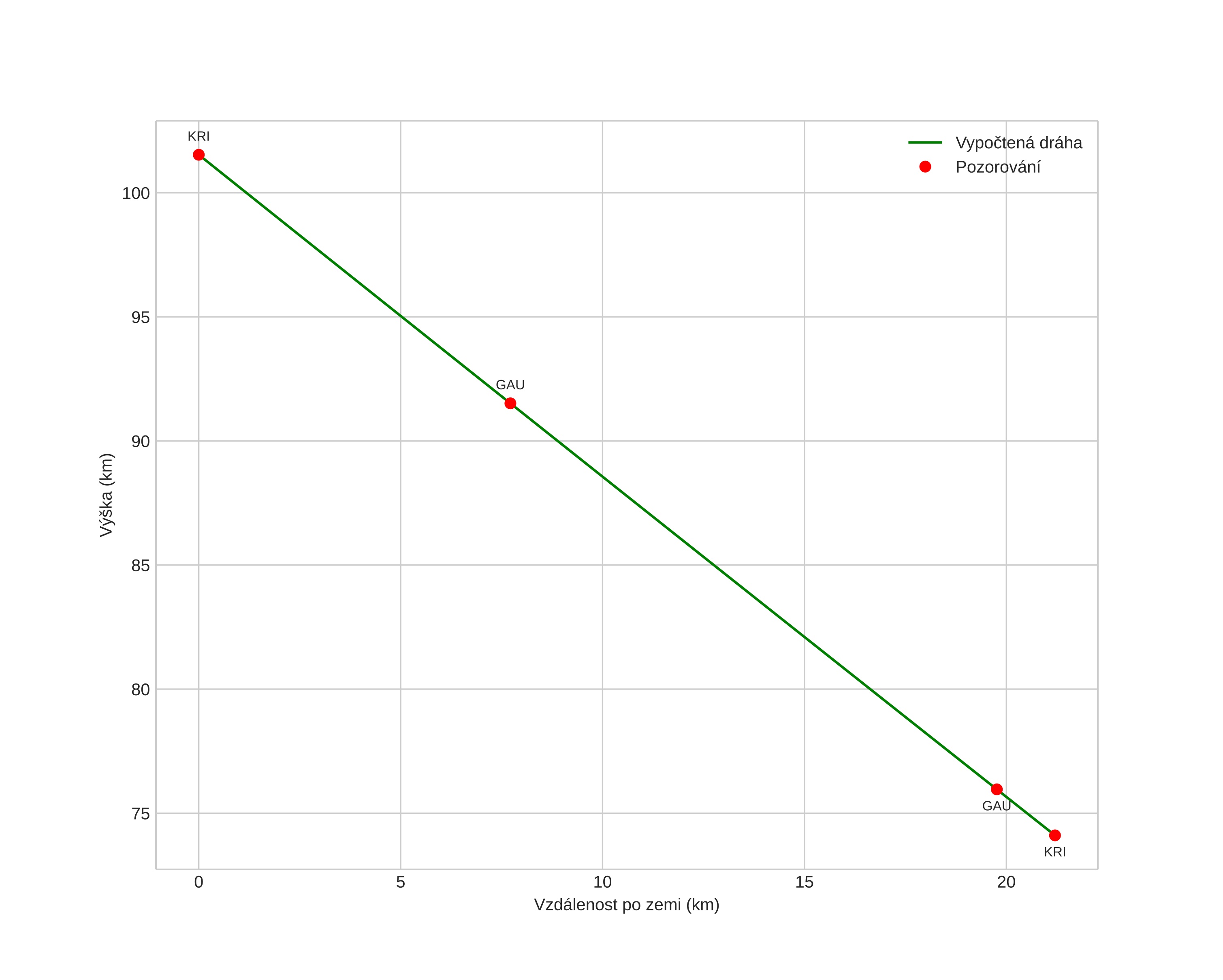
height profile
Atmosférická dráha meteoru:
Počáteční výška: 101,5 km
Konečná výška: 74,1 km
Počáteční poloha: 57,332N 10,340E
Konečná poloha: 57,396N 10,671E
Směr: 70,0°
Sklon: 52,4°
VstupnĂ­ rychlost: 38,6 km/s
Rektascenze radiantu: 07:23 (111,0°)
Deklinace radiantu: 32,8°
MeteorickĂ˝ roj: Geminidy
Elementy dráhy meteoroidu:
Vzdálenost v periheliu: 0,128 AU
Excentricita: 0,926
Sklon dráhy: 27,2°
Délka vzestupného uzlu: 260,3°
Argument perihelia: 324,1°
Střední anomálie: 344,6°
Epocha: 2024 DEC 12 04:16:44
orbit plot

NeinteraktivnĂ­ graf | InteraktivnĂ­ graf

position vs time
speed and acceleration

Gaustatoppen (GAU) cam3

gnomonic
Videa
• Původní
Obrázky
• Původní
Textové soubory
• Detekce
• Pozorování
• Souřadnice
• Protokol
Jasnost