🇳🇴 🇬🇧 🇩🇪 🇨🇿 🇫🇮

Meteor, poloha: Moelv 2024-12-12 20:22:41 UTC

Soubor KML  |  InteraktivnĂ­ mapa

Mapa zobrazuje dráhy meteoru. Světlejší čáry ukazují směry od pozorovacích stanic při objevení se meteoru a tmavší čáry, kde byl naposledy viděn. Modrá šipka značí viditelnou dráhu meteoru.

static map
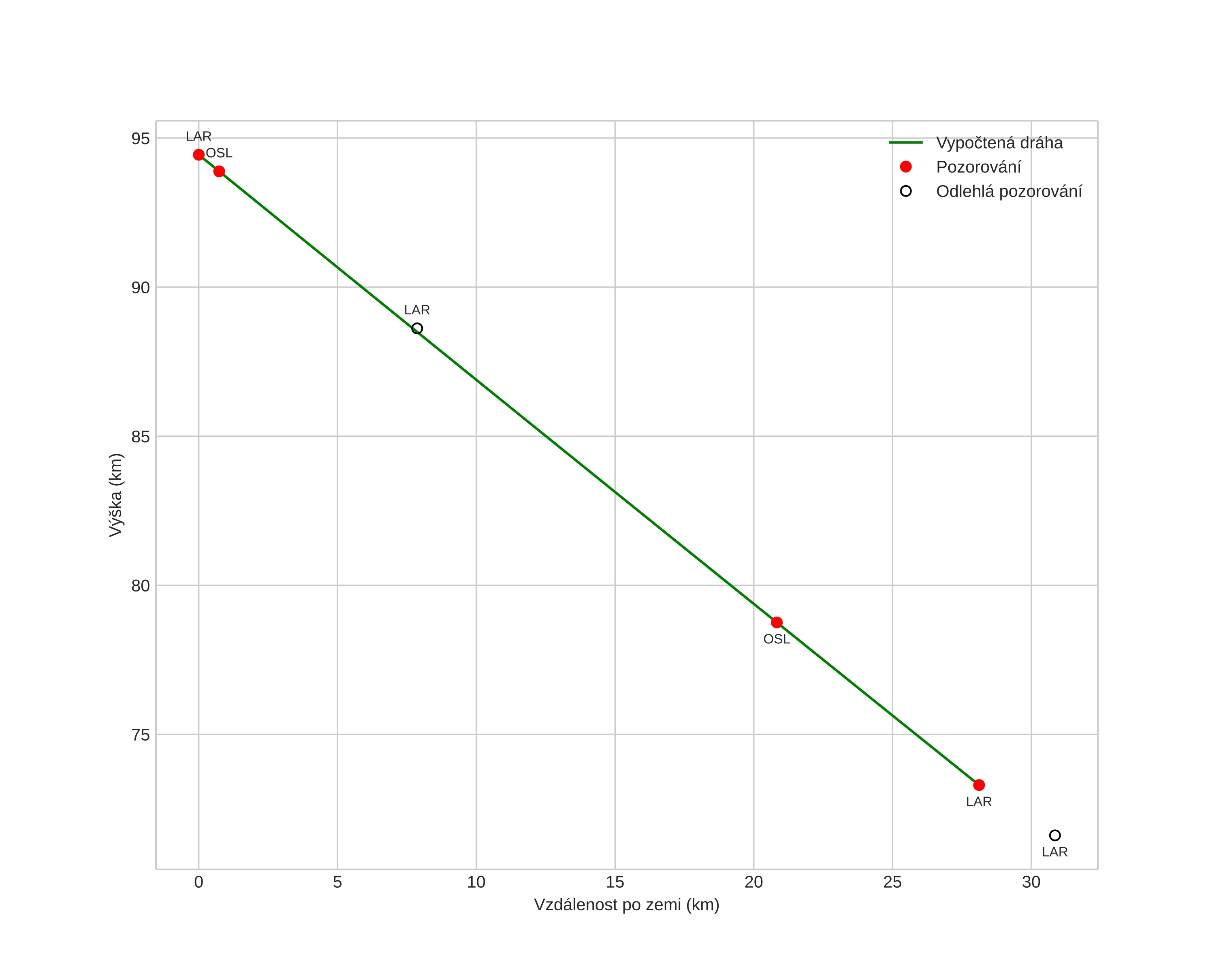
height profile
Atmosférická dráha meteoru:
Počáteční výška: 96,3 km
Konečná výška: 72,3 km
Počáteční poloha: 60,943N 11,277E
Konečná poloha: 60,905N 10,692E
Směr: 262,7°
Sklon: 37,0°
VstupnĂ­ rychlost: 37,9 km/s
Rektascenze radiantu: 07:39 (114,9°)
Deklinace radiantu: 34,3°
MeteorickĂ˝ roj: Geminidy
Elementy dráhy meteoroidu:
Vzdálenost v periheliu: 0,128 AU
Excentricita: 0,908
Sklon dráhy: 31,8°
Délka vzestupného uzlu: 261,0°
Argument perihelia: 325,9°
Střední anomálie: 338,0°
Epocha: 2024 DEC 12 20:22:41
orbit plot

NeinteraktivnĂ­ graf | InteraktivnĂ­ graf

position vs time
speed and acceleration