🇳🇴 🇬🇧 🇩🇪 🇨🇿 🇫🇮

Meteor, poloha: Langesund 2024-12-12 22:22:13 UTC

Soubor KML  |  InteraktivnĂ­ mapa

Mapa zobrazuje dráhy meteoru. Světlejší čáry ukazují směry od pozorovacích stanic při objevení se meteoru a tmavší čáry, kde byl naposledy viděn. Modrá šipka značí viditelnou dráhu meteoru.

static map
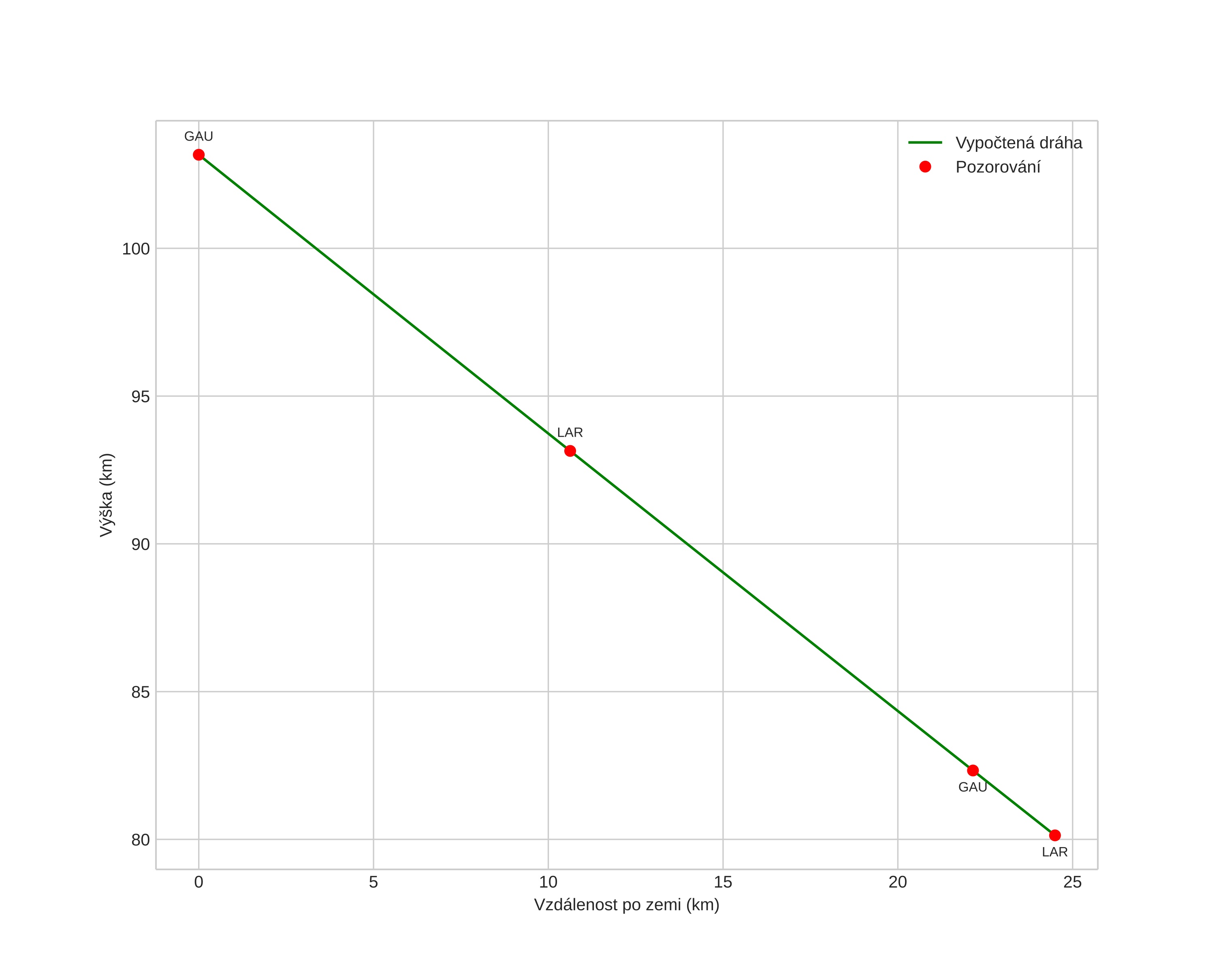
height profile
Atmosférická dráha meteoru:
Počáteční výška: 103,2 km
Konečná výška: 80,1 km
Počáteční poloha: 58,714N 10,026E
Konečná poloha: 58,518N 9,832E
Směr: 207,5°
Sklon: 43,3°
VstupnĂ­ rychlost: 46,2 km/s
Rektascenze radiantu: 12:35 (188,9°)
Deklinace radiantu: 66,9°
MeteorickĂ˝ roj: sporadickĂ˝
Elementy dráhy meteoroidu:
Vzdálenost v periheliu: 0,912 AU
Excentricita: 0,952
Sklon dráhy: 74,2°
Délka vzestupného uzlu: 261,1°
Argument perihelia: 211,9°
Střední anomálie: 359,7°
Epocha: 2024 DEC 12 22:22:13
orbit plot

NeinteraktivnĂ­ graf | InteraktivnĂ­ graf

position vs time
speed and acceleration

Gaustatoppen (GAU) cam3

gnomonic
Videa
• Původní
Obrázky
• Původní
Textové soubory
• Detekce
• Pozorování
• Souřadnice
• Protokol
Jasnost