🇳🇴 🇬🇧 🇩🇪 🇨🇿 🇫🇮

Meteor, poloha: Folldal 2024-12-12 22:42:55 UTC

Soubor KML  |  InteraktivnĂ­ mapa

Mapa zobrazuje dráhy meteoru. Světlejší čáry ukazují směry od pozorovacích stanic při objevení se meteoru a tmavší čáry, kde byl naposledy viděn. Modrá šipka značí viditelnou dráhu meteoru.

static map
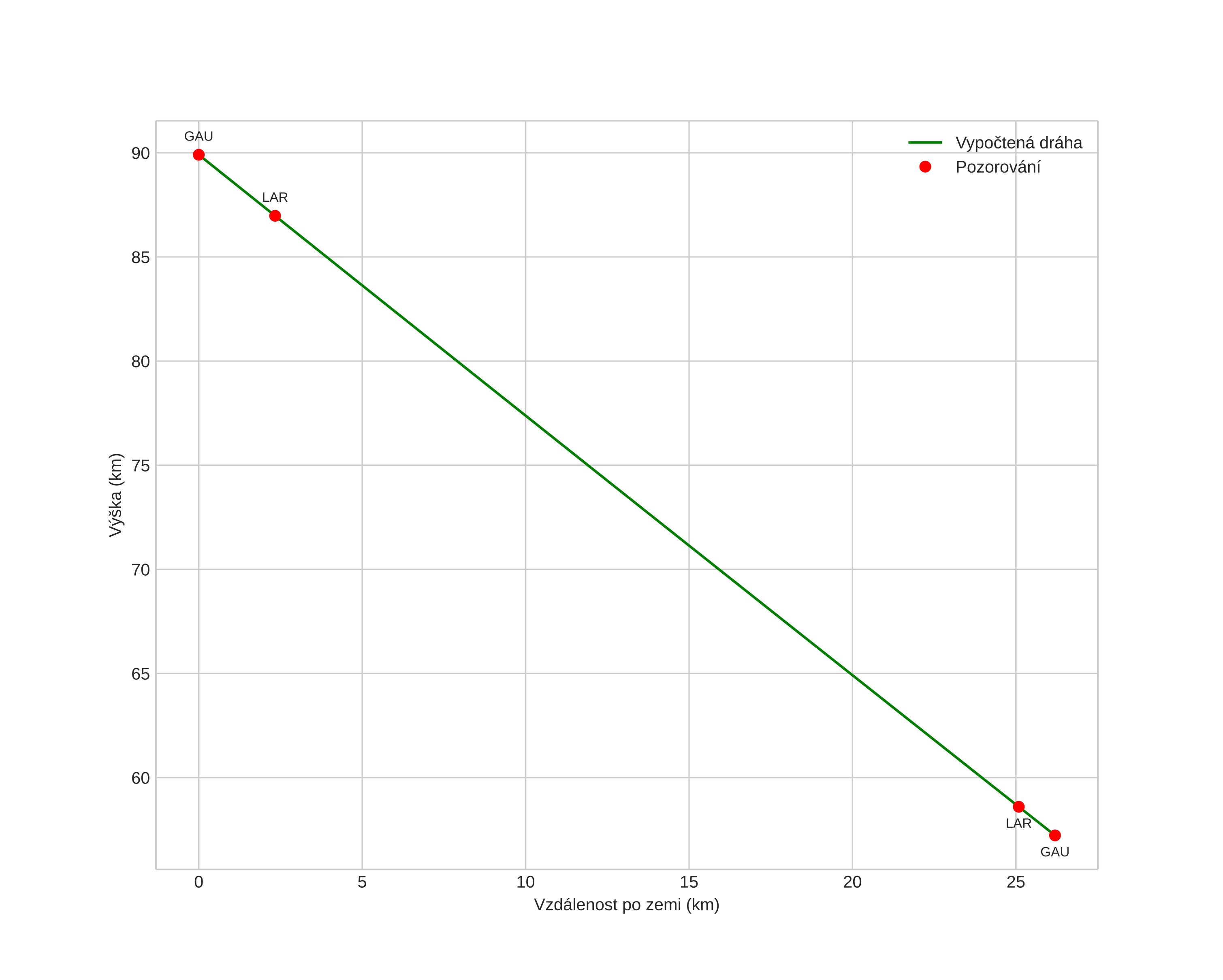
height profile
Atmosférická dráha meteoru:
Počáteční výška: 90,2 km
Konečná výška: 55,8 km
Počáteční poloha: 62,060N 10,591E
Konečná poloha: 62,172N 10,152E
Směr: 299,0°
Sklon: 52,8°
VstupnĂ­ rychlost: 35,7 km/s
Rektascenze radiantu: 07:32 (113,0°)
Deklinace radiantu: 33,8°
MeteorickĂ˝ roj: Geminidy
Elementy dráhy meteoroidu:
Vzdálenost v periheliu: 0,151 AU
Excentricita: 0,884
Sklon dráhy: 25,5°
Délka vzestupného uzlu: 261,1°
Argument perihelia: 323,6°
Střední anomálie: 334,6°
Epocha: 2024 DEC 12 22:42:55
orbit plot

NeinteraktivnĂ­ graf | InteraktivnĂ­ graf

position vs time
speed and acceleration