🇳🇴 🇬🇧 🇩🇪 🇨🇿 🇫🇮

Meteor, poloha: Bruflat 2024-12-12 23:58:35 UTC

Soubor KML  |  InteraktivnĂ­ mapa

Mapa zobrazuje dráhy meteoru. Světlejší čáry ukazují směry od pozorovacích stanic při objevení se meteoru a tmavší čáry, kde byl naposledy viděn. Modrá šipka značí viditelnou dráhu meteoru.

static map
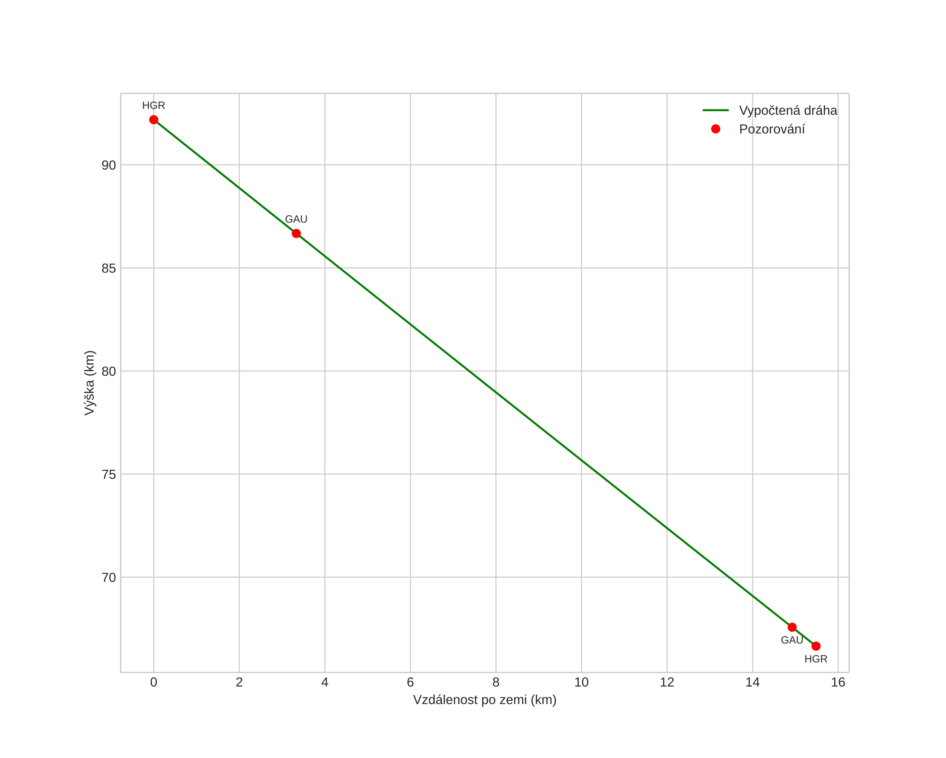
height profile
Atmosférická dráha meteoru:
Počáteční výška: 92,4 km
Konečná výška: 66,7 km
Počáteční poloha: 60,833N 9,808E
Konečná poloha: 60,944N 9,633E
Směr: 322,6°
Sklon: 58,8°
VstupnĂ­ rychlost: 36,7 km/s
Rektascenze radiantu: 07:32 (113,1°)
Deklinace radiantu: 32,4°
MeteorickĂ˝ roj: Geminidy
Elementy dráhy meteoroidu:
Vzdálenost v periheliu: 0,133 AU
Excentricita: 0,902
Sklon dráhy: 24,7°
Délka vzestupného uzlu: 261,1°
Argument perihelia: 325,4°
Střední anomálie: 337,1°
Epocha: 2024 DEC 12 23:58:35
orbit plot

NeinteraktivnĂ­ graf | InteraktivnĂ­ graf

position vs time
speed and acceleration