🇳🇴 🇬🇧 🇩🇪 🇨🇿 🇫🇮

Meteor, poloha: Blakstad 2024-12-14 06:02:29 UTC

Soubor KML  |  InteraktivnĂ­ mapa

Mapa zobrazuje dráhy meteoru. Světlejší čáry ukazují směry od pozorovacích stanic při objevení se meteoru a tmavší čáry, kde byl naposledy viděn. Modrá šipka značí viditelnou dráhu meteoru.

static map
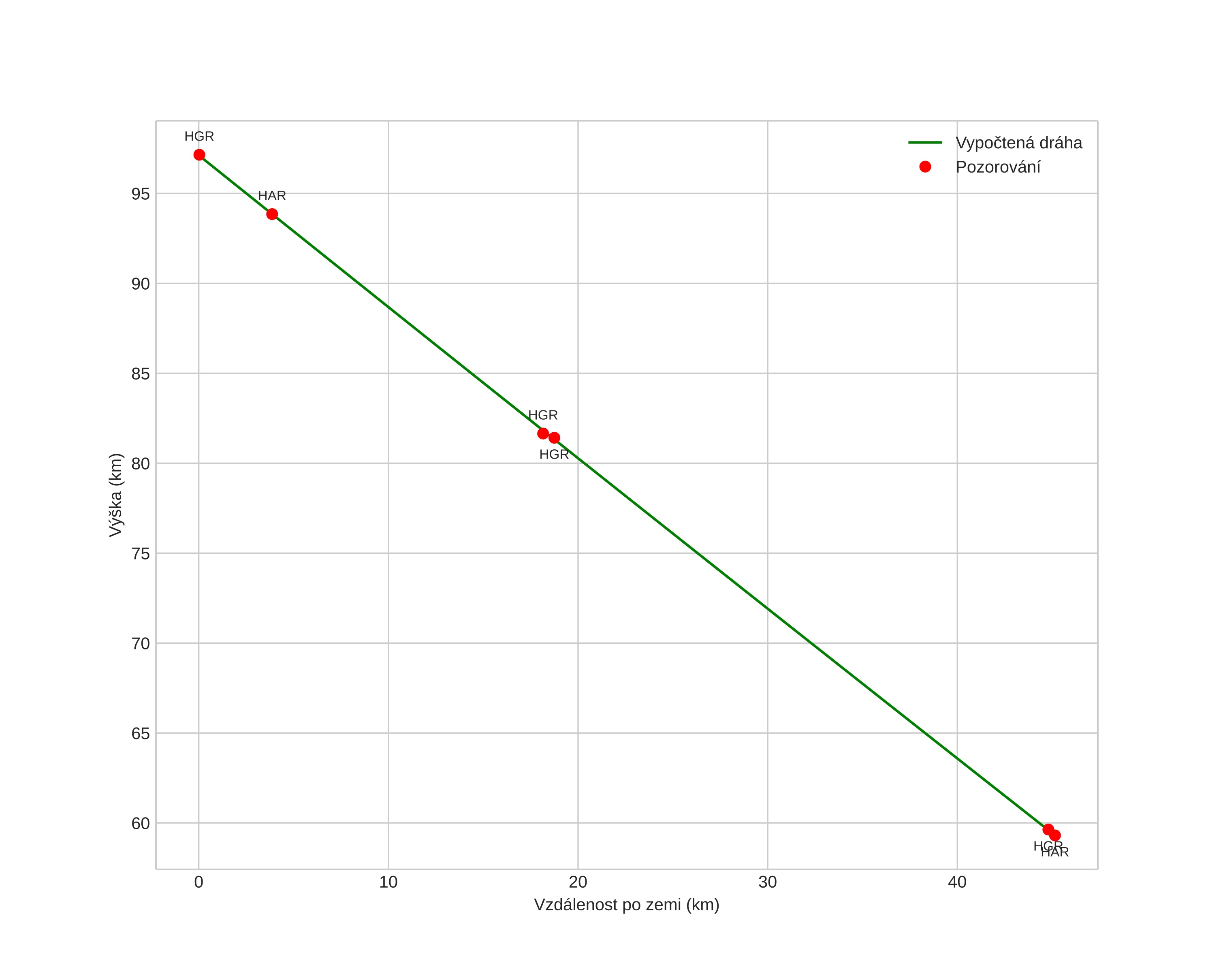
height profile
Atmosférická dráha meteoru:
Počáteční výška: 97,3 km
Konečná výška: 59,3 km
Počáteční poloha: 59,779N 9,701E
Konečná poloha: 59,779N 10,512E
Směr: 89,7°
Sklon: 39,9°
VstupnĂ­ rychlost: 36,4 km/s
Rektascenze radiantu: 07:41 (115,3°)
Deklinace radiantu: 32,3°
MeteorickĂ˝ roj: Geminidy
Elementy dráhy meteoroidu:
Vzdálenost v periheliu: 0,130 AU
Excentricita: 0,901
Sklon dráhy: 25,6°
Délka vzestupného uzlu: 262,4°
Argument perihelia: 326,2°
Střední anomálie: 335,9°
Epocha: 2024 DEC 14 06:02:29
orbit plot

NeinteraktivnĂ­ graf | InteraktivnĂ­ graf

position vs time
speed and acceleration