🇳🇴 🇬🇧 🇩🇪 🇨🇿 🇫🇮

Meteor, poloha: Ă…mot 2024-12-14 06:16:51 UTC

Soubor KML  |  InteraktivnĂ­ mapa

Mapa zobrazuje dráhy meteoru. Světlejší čáry ukazují směry od pozorovacích stanic při objevení se meteoru a tmavší čáry, kde byl naposledy viděn. Modrá šipka značí viditelnou dráhu meteoru.

static map
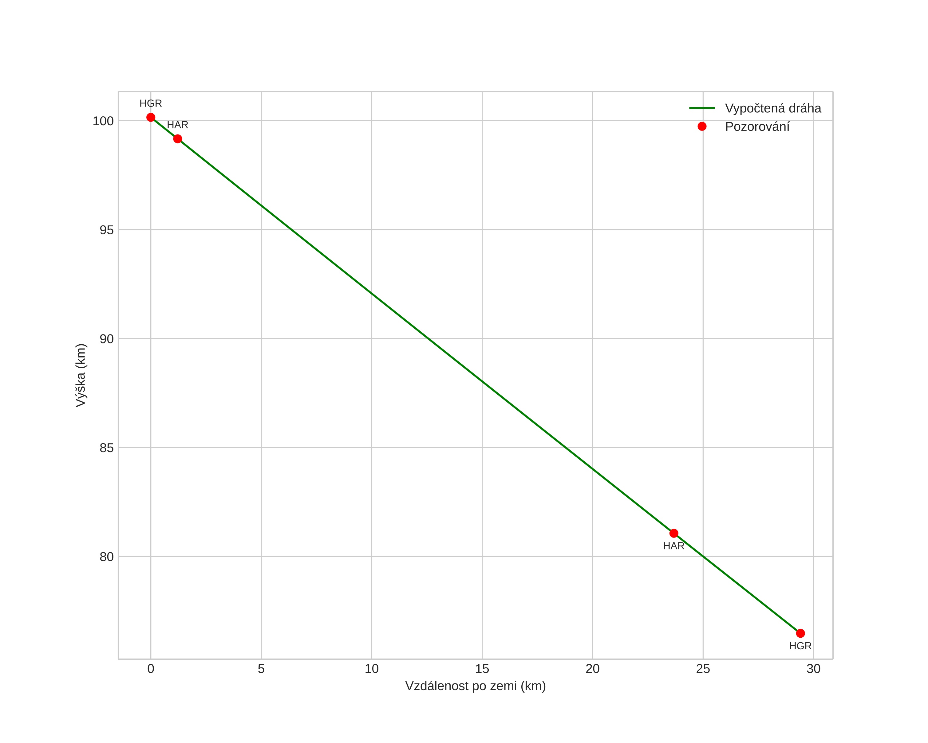
height profile
Atmosférická dráha meteoru:
Počáteční výška: 99,6 km
Konečná výška: 77,5 km
Počáteční poloha: 59,735N 7,783E
Konečná poloha: 59,718N 8,272E
Směr: 93,6°
Sklon: 38,8°
VstupnĂ­ rychlost: 34,3 km/s
Rektascenze radiantu: 07:32 (113,1°)
Deklinace radiantu: 33,1°
MeteorickĂ˝ roj: Geminidy
Elementy dráhy meteoroidu:
Vzdálenost v periheliu: 0,165 AU
Excentricita: 0,871
Sklon dráhy: 22,2°
Délka vzestupného uzlu: 262,4°
Argument perihelia: 322,0°
Střední anomálie: 333,4°
Epocha: 2024 DEC 14 06:16:51
orbit plot

NeinteraktivnĂ­ graf | InteraktivnĂ­ graf

position vs time
speed and acceleration