🇳🇴 🇬🇧 🇩🇪 🇨🇿 🇫🇮

Meteor, poloha: Engerdal 2024-12-14 06:41:07 UTC

Soubor KML  |  InteraktivnĂ­ mapa

Mapa zobrazuje dráhy meteoru. Světlejší čáry ukazují směry od pozorovacích stanic při objevení se meteoru a tmavší čáry, kde byl naposledy viděn. Modrá šipka značí viditelnou dráhu meteoru.

static map
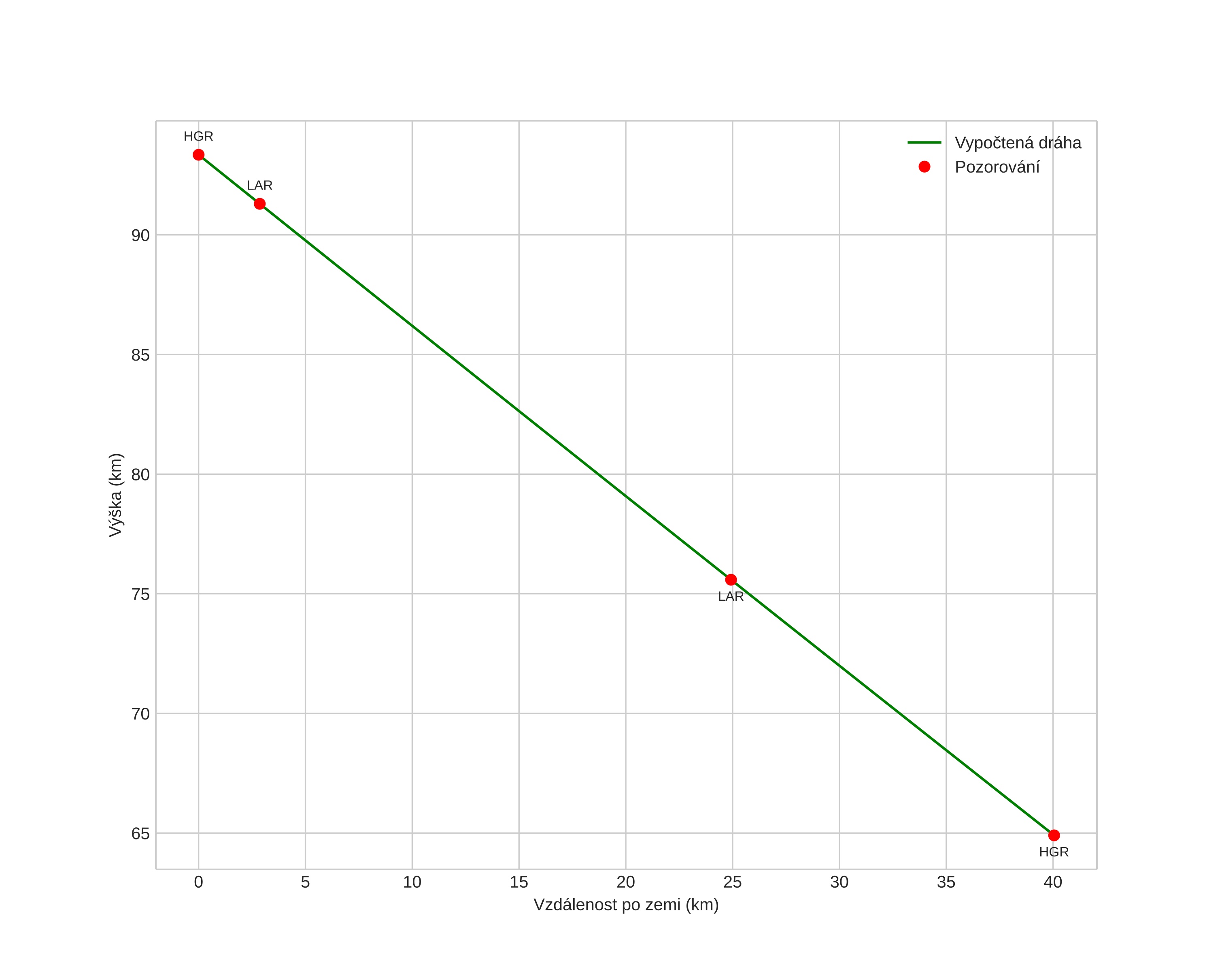
height profile
Atmosférická dráha meteoru:
Počáteční výška: 93,6 km
Konečná výška: 64,6 km
Počáteční poloha: 62,250N 12,101E
Konečná poloha: 62,152N 12,858E
Směr: 105,2°
Sklon: 35,4°
VstupnĂ­ rychlost: 38,9 km/s
Rektascenze radiantu: 07:21 (110,3°)
Deklinace radiantu: 36,6°
MeteorickĂ˝ roj: Geminidy
Elementy dráhy meteoroidu:
Vzdálenost v periheliu: 0,181 AU
Excentricita: 0,923
Sklon dráhy: 31,3°
Délka vzestupného uzlu: 262,4°
Argument perihelia: 314,3°
Střední anomálie: 350,2°
Epocha: 2024 DEC 14 06:41:07
orbit plot

NeinteraktivnĂ­ graf | InteraktivnĂ­ graf

position vs time
speed and acceleration