🇳🇴 🇬🇧 🇩🇪 🇨🇿 🇫🇮

Meteor, poloha: Hurdal 2024-12-14 16:36:12 UTC

Soubor KML  |  InteraktivnĂ­ mapa

Mapa zobrazuje dráhy meteoru. Světlejší čáry ukazují směry od pozorovacích stanic při objevení se meteoru a tmavší čáry, kde byl naposledy viděn. Modrá šipka značí viditelnou dráhu meteoru.

static map
height profile
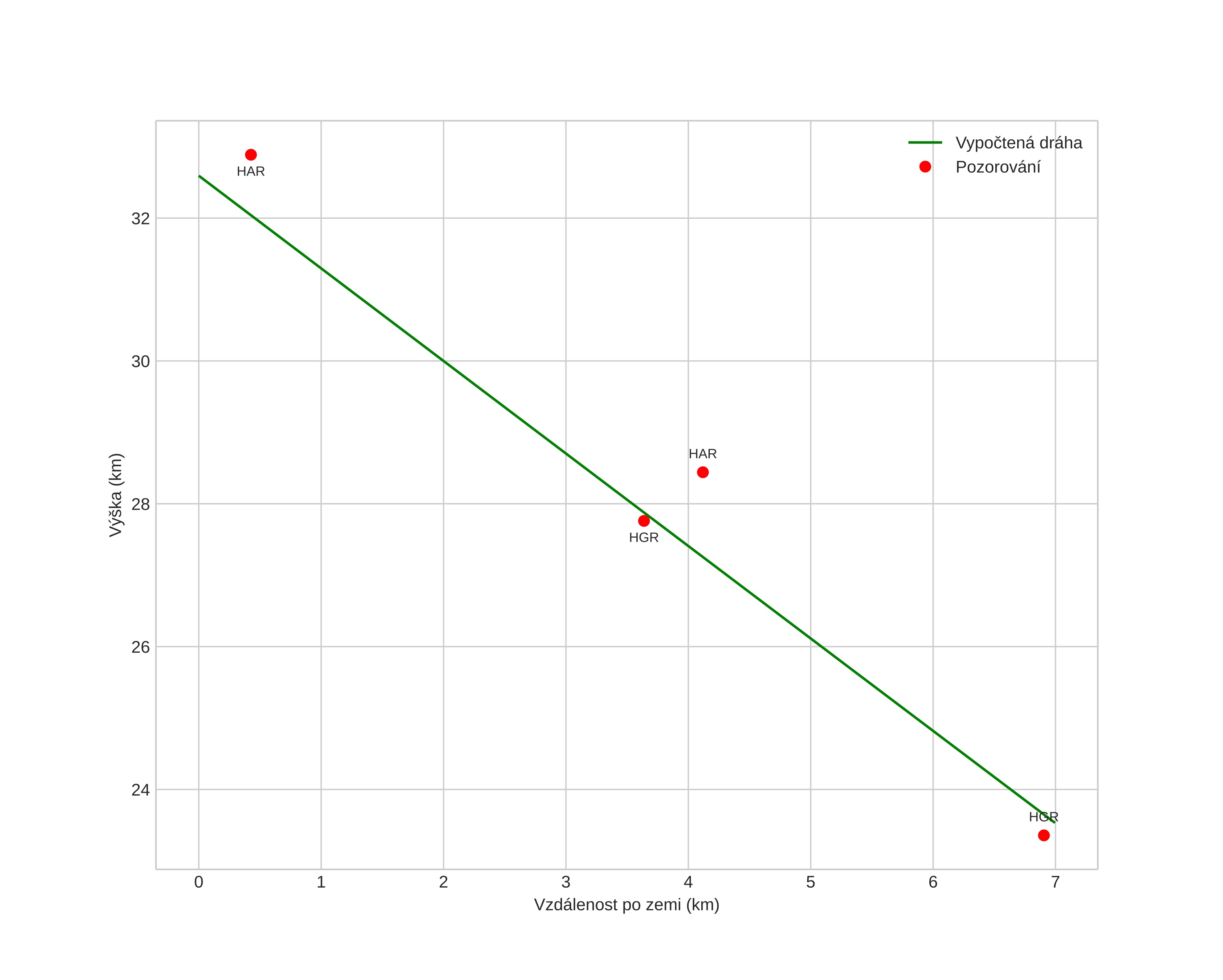
Atmosférická dráha meteoru:
Počáteční výška: 32,7 km
Konečná výška: 23,4 km
Počáteční poloha: 60,585N 10,994E
Konečná poloha: 60,561N 11,102E
Směr: 115,1°
Sklon: 55,1°
position vs time
speed and acceleration