🇳🇴 🇬🇧 🇩🇪 🇨🇿 🇫🇮

Meteor, poloha: Trøim 2024-12-14 17:10:09 UTC

Soubor KML  |  InteraktivnĂ­ mapa

Mapa zobrazuje dráhy meteoru. Světlejší čáry ukazují směry od pozorovacích stanic při objevení se meteoru a tmavší čáry, kde byl naposledy viděn. Modrá šipka značí viditelnou dráhu meteoru.

static map
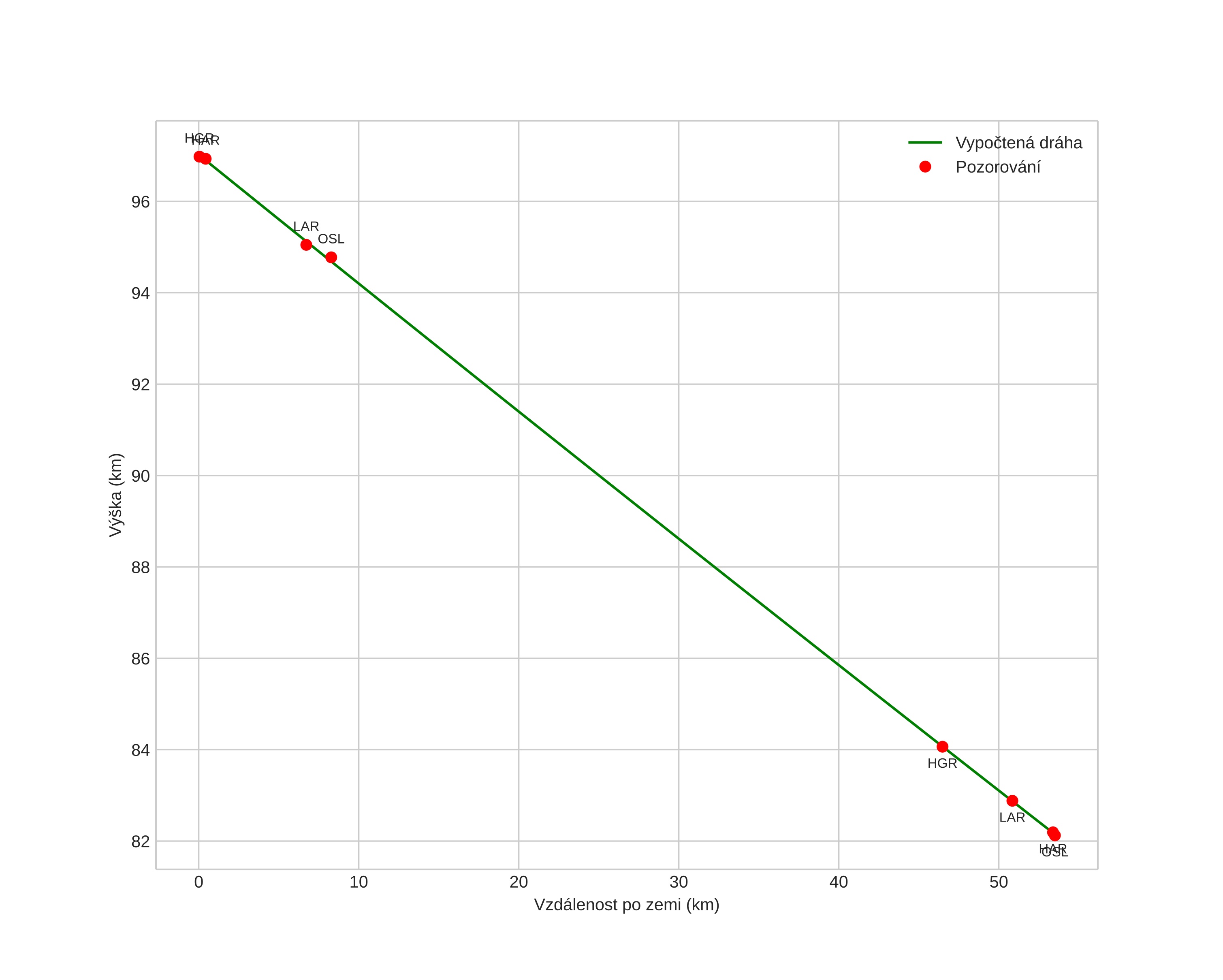
height profile
Atmosférická dráha meteoru:
Počáteční výška: 98,6 km
Konečná výška: 82,0 km
Počáteční poloha: 61,270N 9,512E
Konečná poloha: 60,910N 8,726E
Směr: 226,9°
Sklon: 15,9°
VstupnĂ­ rychlost: 35,7 km/s
Rektascenze radiantu: 07:36 (114,1°)
Deklinace radiantu: 32,0°
MeteorickĂ˝ roj: Geminidy
Elementy dráhy meteoroidu:
Vzdálenost v periheliu: 0,147 AU
Excentricita: 0,888
Sklon dráhy: 22,2°
Délka vzestupného uzlu: 262,9°
Argument perihelia: 323,9°
Střední anomálie: 335,3°
Epocha: 2024 DEC 14 17:10:09
orbit plot

NeinteraktivnĂ­ graf | InteraktivnĂ­ graf

position vs time
speed and acceleration