🇳🇴 🇬🇧 🇩🇪 🇨🇿 🇫🇮

Meteor, poloha: Tretten 2024-12-14 18:15:23 UTC

Soubor KML  |  InteraktivnĂ­ mapa

Mapa zobrazuje dráhy meteoru. Světlejší čáry ukazují směry od pozorovacích stanic při objevení se meteoru a tmavší čáry, kde byl naposledy viděn. Modrá šipka značí viditelnou dráhu meteoru.

static map
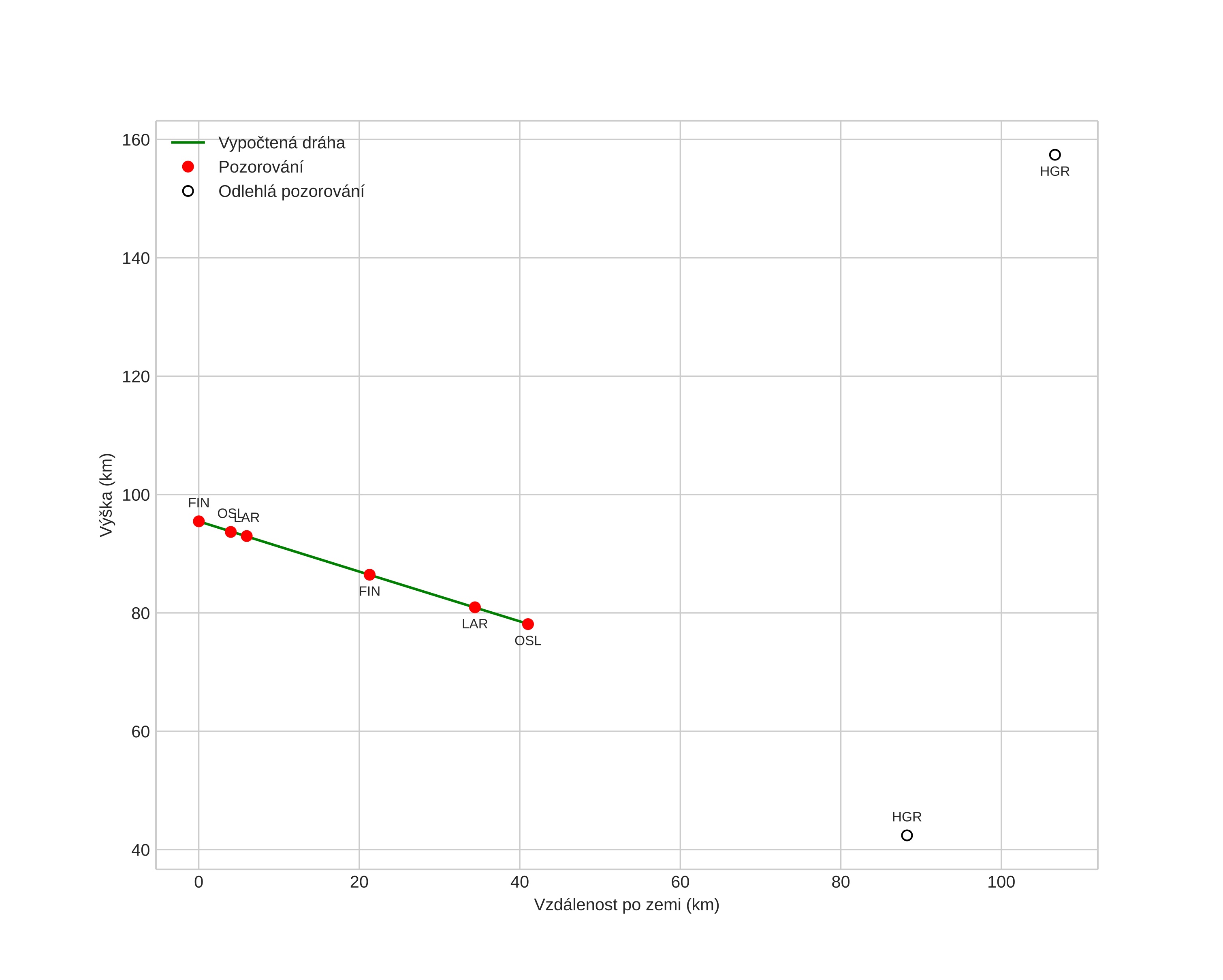
height profile
Atmosférická dráha meteoru:
Počáteční výška: 95,5 km
Konečná výška: 78,3 km
Počáteční poloha: 61,502N 10,944E
Konečná poloha: 61,319N 10,277E
Směr: 240,4°
Sklon: 22,8°
VstupnĂ­ rychlost: 36,5 km/s
Rektascenze radiantu: 07:37 (114,4°)
Deklinace radiantu: 32,5°
MeteorickĂ˝ roj: Geminidy
Elementy dráhy meteoroidu:
Vzdálenost v periheliu: 0,143 AU
Excentricita: 0,897
Sklon dráhy: 24,3°
Délka vzestupného uzlu: 262,9°
Argument perihelia: 323,9°
Střední anomálie: 337,4°
Epocha: 2024 DEC 14 18:15:23
orbit plot

NeinteraktivnĂ­ graf | InteraktivnĂ­ graf

position vs time
speed and acceleration