🇳🇴 🇬🇧 🇩🇪 🇨🇿 🇫🇮

Meteor, poloha: Bagn 2024-12-14 18:47:18 UTC

Soubor KML  |  InteraktivnĂ­ mapa

Mapa zobrazuje dráhy meteoru. Světlejší čáry ukazují směry od pozorovacích stanic při objevení se meteoru a tmavší čáry, kde byl naposledy viděn. Modrá šipka značí viditelnou dráhu meteoru.

static map
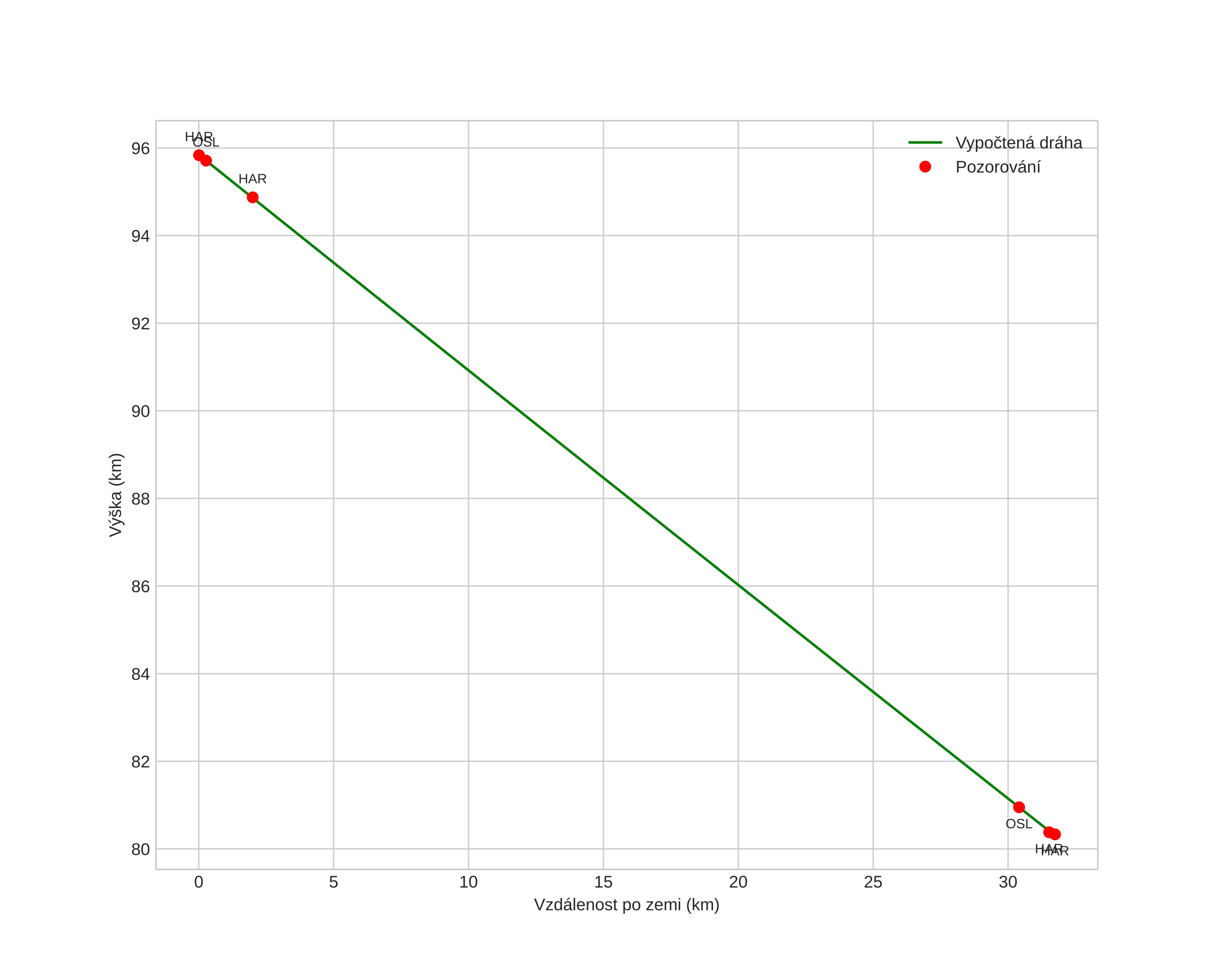
height profile
Atmosférická dráha meteoru:
Počáteční výška: 97,3 km
Konečná výška: 80,6 km
Počáteční poloha: 61,080N 10,113E
Konečná poloha: 60,953N 9,524E
Směr: 246,2°
Sklon: 25,7°
VstupnĂ­ rychlost: 36,9 km/s
Rektascenze radiantu: 07:35 (114,0°)
Deklinace radiantu: 32,5°
MeteorickĂ˝ roj: Geminidy
Elementy dráhy meteoroidu:
Vzdálenost v periheliu: 0,143 AU
Excentricita: 0,902
Sklon dráhy: 24,5°
Délka vzestupného uzlu: 262,9°
Argument perihelia: 323,4°
Střední anomálie: 339,1°
Epocha: 2024 DEC 14 18:47:18
orbit plot

NeinteraktivnĂ­ graf | InteraktivnĂ­ graf

position vs time
speed and acceleration